摘 要: 基于成本效用理论和演化博弈理论对低生育水平进行研究,探讨低生育水平形成的原因,并利用湖北省宜昌市 2015 年生育意愿调查数据进行实证检验。研究发现: 教育成本的上升和婚姻挤压是生育孩子成本上升的重要原因,孩子保障价值 的下降是造成生育孩子收益下降的重要因素,成本上升和收益下降的双重作用使得家庭的生育意愿下降。外出务工人数的增加加剧了生育孩子的成本和效用的失衡,强化了家庭生育意愿下降的机制,学习效应促进了低生育行为的扩散,使该地区的低生育水平得以形成和强化,普遍二孩政策的放开对提升低生育地区的生育水平作用有限。
关键词: 成本效用; 生育意愿; 学习演化; 低生育水平
【来源】赵伟锋,杨云彦,石智雷.成本收益失衡、学习演化与区域低生育水平强化[J].经济经纬,2017,34(05):109-115.
引言
按照第六次全国人口普查的数据,2010 年我国育龄妇女的总和生育率为 1. 18,虽然学者们对此有不同的认识,但我国目前的总和生育率低于人口更替水平已经成为公认的事实。低生育地区生育水平的下降更为明显,以湖北省宜昌市为例,从 1983 年开始,妇女的总和生育率已经连续 31 年处于更替水平以下( 穆光宗,2005) ,2014 年宜昌市总和生育率 已经下降到 0. 91。一个国家或地区低生育水平如果长期持续下去,将对养老和医疗体系、经济和文化影响力等领域形成严重的负面影响。为促进入口均衡发展,十八届五中全会提出,全面实施一对夫妇可生育两个孩子的政策。普遍二孩政策的放开对提高低生育地区的生育水平能起到何种作用,是否能够提高低生育地区的生育水平? 分析政策放开后生育水平可能的变化,必须明确低生育水平产生的原因。
对生育水平下降原因的研究由来已久,研究的视角主要从两个方面展开。第一种角度是从宏观经济发展和生育政策展开分析的,从宏观方面对生育水平下降的分析包括计划生育政策(Wolf,1986; 秦芳芳,1987) 和经济发展(彭希哲等,1993; 陈卫等,1999) 两个主要方向。赵锋(1998) 认为经济发展对生育率的下降具有决定性作用,更多学者认为经济 因素对生育率下降的作用是间接的。从宏观的角度去分析生育水平下降是一个很好的视角,但其忽略了两个重要的问题: 第一,生育水平的下降是由大量的单个家庭生育决策变化而引发的; 第二,不考察影响生育率下降的直接因素则无法分析生育水平下降的内在机制。因此,对生育水平下降的考察应首先 从微观角度开始,分析单个家庭生育决策的变化并考察其内在机制。对生育水平下降的第二种分析视 角从家庭的微观决策展开。生育行为和生育率变动的微观经济分析,一直受到西方人口经济理论研究的重视。从贝克尔将效用最大化引入家庭生育行为的分析,到莱宾斯坦的成本效用理论,探讨了相关因素在影响家庭生育意愿中所起的作用,其中莱宾斯坦的孩子成本效用分析对于描述和解释非农业化过程中人们边际生育决策提供了有力的理论工具。受教育程度(风笑天,2009; 石智雷等,2014) 、兄弟姐妹的数量(陈字等,2007)、性别偏好(宋健等,2012)参加新型农村合作医疗王天宇等,2015) 、收入水平(梁宏,2007; 赵忠,2016)、生育年龄的推迟(李建新等,2012)、生育的经济成本和心理成本(郑真真等,2009) 等都是学者们关注的内容。从微观角度对低生育水平进行研究,能够很好地从生育 的目的出发,分析生育水平的抑制因素,但大多数学者是针对影响生育行为的某一个因素进行研究,没有形成完整的体系,从而无法说明生育水平降低的内在机制。更重要的是,单个家庭的生育决策如何对整个区域的生育水平造成影响,并没有学者进行深入分析,这也将是本研究的一个创新点。
本文的边际贡献是: ( 1) 探讨低生育地区生育水平持续走低的原因,并分析其内在机制。( 2) 分析全面二孩政策放开后,家庭生育意愿的变化,研究低生育地区未来生育水平可能受到的影响。鉴于此,本研究首先通过对生育孩子的收益和成本的变化分析家庭的生育决策行为。其次,当部分家庭的生育决策发生变化之后,考察其他家庭生育决策的演化过程。
一、城市化背景下的家庭生育决策变迁
( 一) 城市化的加速与农村婚姻的挤压
城市化表现为农业人口向非农业人口的转化,在我国首先表现为农村劳动力向城市的大量转移,城市化进程的加速使得人口迁移和劳动力流动日趋活跃( 杨云彦 等,2003) 。由于农业生产的收益低下,农民在理性的驱动下用脚投票,从 20 世纪 80 年代开始,大量的农民工开始向城市流动,根据人力资源和社会保障部的统计,2014 年底我国外出务工的农民工数量达到1. 68 亿人。在农村流入城市的人口中,男性的比例为 52. 41% ,略高于女性,这是否意味着人口流动降低了农村婚配市场男性的比例呢? 农村男性流入城市后,与城市女性结婚的比例很低,并不能真正融入城市婚配市场,而农村女性进入城市婚配市场的比例远远高于男性,人口流动加剧了农村适婚人口性别比的失衡。此外,近年来连续出现的高出生性别比也是形成这种失衡的重要原因,农村男性的婚姻问题凸显。适婚女性的缺失使得我国几乎所有地区的农村都存在婚姻挤压的现象( 李树茁,1998) ,婚姻的挤压导致男性婚姻的成本迅速增加,男性在婚姻市场中处于一种被选择的位置。
( 二) 教育水平的提升和女性的职业发展
近年来我国居民的受教育水平迅速提升,根据全国第六次人口普查数据,我国具有高中以上文化程度的人口比重由 2000 年的 11. 15% 上升到 2010 年的 14. 03% 。教育水平的逐年上升为经济社会发展提供了强大的动力,同时也对育龄妇女的生育意愿产生了直接的影响。一方面,人均受教育水平的上升使得养育子女的教育成本发生变化,改变了育龄妇女的生育意愿。另一方面,教育水平的提升增 加了女性的就业机会,促进了女性的职业发展。伴随女性职业发展,女性收入在家庭收入中所占的比重也逐步上升,生育子女的时间成本上升。因此,女性的职业发展进一步推动了养育孩子成本的上升。
( 三) 家庭的核心化与养老保障体系的健全
农村人口流动的过程必然还伴随着核心家庭在农村家庭中的比重开始上升,核心家庭逐渐开始取代复合家庭( Yuan,1989) ,家庭核心化的趋势愈加明显。从统计数据来看,我国户均人口从 1980 年的 4. 6 人下降到 2010 年的 3. 8 人,家庭规模一直呈现缩小的趋势。伴随着家庭的核心化,家庭的养老功 能逐步下降,子女对父母养老的照顾减少。与之相对应的是,养老保障的覆盖进一步完善,城乡养老保障体系的建设更加完备。从历年全国基本养老保险的参保人数来看,1989 年仅有 5710. 3 万城镇职工参加了基本养老保险,到 2013 年这一数字增长到 32218. 4 万人,另有 49750 万农村居民参加了新型农村基本养老保险,参加基本养老保险的总人数达到 81968. 4 万人。就养老保障体系的建设而言,从原来的城镇职工基本养老保险转变为城镇职工基本养老保险和新型农村养老保险并存的局面,并于 2014 年合并建立统一的城乡居民基本养老保险制度。养老保险体系的建立和完善,对家庭生育决策 产生了重要的影响: 一方面,社会保障对养儿防老产生了明显的替代作用 (秦雪征,2010; 陈晓毅, 2015) 。另一方面,社会保障使得低收入家庭的预算约束放松,家庭最优生育数量发生了变化。
二、理论分析与模型建立
( 一) 孩子的成本与效用分析
Leibenstein( 1974) 首先从家庭生育的成本和收益的角度解释生育行为,认为家庭通过对生育孩子的成本效用的比较来决定家庭的生育行为。对生育孩子的成本和效用的分析,从外出务工人口比重的变化展开。随着外出务工人口比重的增加,家庭收入水平提高,原有的工资率水平也呈现上升的趋势,养育孩子的间接成本 Ci ( 机会成本) 与工资率水平同步上升,即Ci /r > 0。生育孩子的直接成本 Cd 也呈现增加的趋势,其原因在于,外出务工一方面阻隔了父母和子女之间的联系,如果子女随父母流动,子女的抚育成本和教育成本会迅速增加; 如果子女没有随父母流动,流入地对教育的重视和联系的阻隔也会使得父母增加孩子的教育费用和抚养成本。家庭教育成本的迅速上升在我们的调研过程中也得到了印证。例如在宜昌地区,为提高孩子的受教育水平,父母趋向于为孩子选择更好的教育资源,陪读的现象在宜昌地区普遍存在。在直接成本 Cd 增加的过程中,Cd /r > 0 且 2 Cd /r 2 > 0,即直接成本 Cd 相对于外出务工人口的比重 r 的斜率大于 0,且呈现出递增的趋势,其原因为对子女教育、抚养费和婚嫁成本等投入的增速大于外出务工人口比重的增速,也即在收入增加的情况下,父母会把收入增量中更多的部分用于子女的教育和抚养费用,尤其是子女的婚嫁成本在婚姻出现挤压的情况下会以更快的速度迅速上升。
考虑孩子的效用,外出务工的增加使父母收入水平逐渐提高,父母对孩子作为收入来源的期望就会下降,孩子的经济收入效用呈现逐步下降的趋势,如图 1 中 Ue 所示。同时当外出务工人口的比重增加时,家庭收入水平逐渐增加,父母晚年对于自身经济生活的保障能力增强,子女作为父母晚年养老保障和安全的需要也呈现下降的趋势,子女外出务工也降低了父母对孩子养老保障功能的期望。与 Ue不同的是,其与收入水平的相关性相对较弱,社会保障效用 Ug 比 Ue 相对平缓。孩子的消费效用与外出务工人口比重的增加并没有直接的关系,其原因是孩子作为消费品,给父母带来的精神愉悦和满足感,对收入的变动弹性为 0,如图 1 中 Us 所示。

低生育地区生育意愿下降的机制表现出如下特点: ( 1) 外出务工机会的增加使得生育孩子的间接成本和直接成本同时增加。( 2) 外出务工增加了孩子的教育成本,教育成本的迅速上升是宜昌地区区别于其他地区的重要因素。( 3) 外出务工使女性外流的比重增加,婚姻的挤压增加了男性的婚姻成本。 ( 4) 外出务工极大地降低了孩子对父母的经济效用 和社会保障效用。
外出务工增加所引致的生育孩子成本的增加和 效用的下降在全国范围内都是相似的。宜昌地区的低生育水平有两个可能的解释: 第一,宜昌地区更加重视子女的教育使得生育孩子的直接成本迅速增加; 第二,宜昌地区的未婚女性外出务工的比重较高,且婚后返回的比例较大( 即外嫁女比重较大) ,这加剧了本地区婚姻的挤压,而婚姻的挤压使得男性的婚嫁成本迅速升高。造成宜昌地区生育意愿下降的主要原因仍然是成本和收益的失衡,相对于其他地区,成本和收益的失衡更加明显,且外出务工强化了生育意愿下降的机制,因此,农村育龄妇女生育意愿的下降更加明显。然而,并非每个家庭都会因为成本和收益的比较而选择降低生育意愿,生育的偏好是存在的,据本次调查,仍然有一定比例的育龄妇女认同多子多福的观念。
( 二) 低生育水平的扩散效应
在部分家庭的二孩生育意愿下降后,所有家庭仍然是一个同质群体,每一个家庭都有相同的策略集合,即生育两个或两个以上的孩子或者不生育二孩。首先我们考察不愿意生育二孩的群体( 变异的群体) 会发生怎样的变化,不生育二孩的策略相对于群体的平均支付使得该群体以怎样的速度变化,这是一个进化博弈的过程。
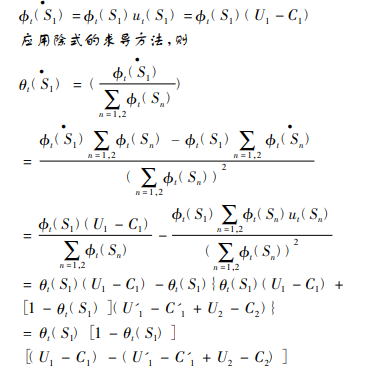
假设在 t 时期,所有的家庭都采取纯策略,即每个家庭都确定地选择生育或者不生育第二个孩子,其支付不存在以概率表示的期望效用。每个家庭都在是否生育二孩的策略上进行选择,假定群体中不存在主动选择不生育孩子和生育多孩的个案( 这与实际情况基本相符) ,每个家庭均愿意生育一个或者两个孩子。如果用 t ( S1 ) 表示在 t 时期使用纯策略 S1 ( 不生育第二个孩子) 的家庭的集合; 用 θt ( S1 ) = t ( S1 ) / n ∑= 1,2 t ( Sn ) 表示在 t 时期使用纯策略 S1 ( 不生育第二个孩子) 的家庭在所有家庭中所占的比重,则在 t 时期使用纯策略 S1 ( 不生育第二个孩子) 的支付水平为:

此时,群体规模( 参与人的集合) 随时间的变化可表示为:

因为 0 < θt ( S1 ) < 1( 在收益和成本的比较下一定存在不愿意生育二孩的家庭,且仅为整体的一部 分) ,则 θt ( S1) [1 - θt ( S1) ]> 0,当( U1 - C1 ) - ( U'1 - C'1 + U2 - C2 ) > 0 时,即 U1 - C1 > U'1 - C'1 + U2 - C2,该式表明,生育一个孩子的净效用( 效用与成 本之差额) 大于生育两个孩子的净效用时,θt ( S1 ) > 0,不愿意生育二孩的群体规模逐渐增加,该群体呈 现出扩张的趋势,愿意生育二孩的家庭逐渐萎缩,这 与群体中采取该策略家庭的比例没有相关性。如图 2,我们也可以据此分析家庭的生育策略选择及其稳 定性。在θt ( S1 ) > 0 的区域,θt ( S1 ) 逐渐收敛于 1; 在θt ( S1 ) < 0 的区域,θt ( S1 ) 逐渐收敛于 0,θt ( S2 ) 逐 渐收敛于 1。根据上文的分析,在生育一个孩子的 净效用大于生育两个孩子的净效用时,θt ( S1 ) 逐渐 趋近于 1 为稳定策略。

当家庭中的策略选择稳定以后,选择不生育二 孩的家庭数量也逐渐趋于稳定。此时,由于外出务 工机会的增加,人口的流动使得其他区域的生育观念对该地区造成了影响。随着外出务工人口的增 加,这是否会对该地区的低生育水平造成冲击? 外 来生育观念的冲击是否会改变原有群体的策略? 假定原来的群体最初使用的策略为 S1 ③,很少 的 ε 部分的育龄妇女开始使用策略 S2,此时其混合 策略组合为( 1 - ε) S1 + εS2,若为稳定策略组合,则 原群体比外来群体获得更高的收益,即对于充分小 的 ε,有:

若上式对于任何充分小的 ε 成立,则 u( S1,S1 ) > u( S2,S1 ) 或者 u( S1,S1 ) = u ( S2,S1 ) 且 u ( S1,S2 ) > u( S2,S2 ) ,这表明在一个进化稳定策略中,新进入的群体不会影响到原有群体的策略选择。即使 u( S1,S1 ) = u( S2,S1 ) 且 u( S1,S2 ) ≥u( S2,S2 ) ,如果第二个不等式等号成立,也说明采取多生育策略的家庭仍然存在,但其数量也不可能实现增长。
三、基于微观数据的检验
( 一) 数据来源与变量设置
为分析低生育水平地区的生育意愿和生育行 为,2015 年 8 月,我们选择湖北省宜昌市进行了生育意愿的调查。在调查过程中,我们设计“在政策允许的情况下,您是否想要二孩”的问题,这虽然可以减少生育政策限制对二孩生育意愿的影响,但生育政策的影响仍然客观存在,政策放开普遍二孩与没有放开普遍二孩仍然存在一定的差异。在抽样中,五峰土家族自治县所包含的育龄妇女样本均可以生育二孩,我们设定一个虚拟变量“政策是否普遍放开”以考察政策的约束对育龄妇女生育意愿的影响。对五峰土家族自治县的育龄妇女,该变量设定为 1,其他未全面放开二孩政策的县域该变量设定为 0。
对生育孩子成本的考察可以从多个角度入手, 在调查中我们设置了“不想要二孩的原因”的问题, 这些原因包括孩子的教育费用太高、婚嫁成本高、没有精力带孩子、生孩子会影响自己的工作和事业、怀孕生孩子太麻烦。但这些因素均为不生育二孩的家庭提供,用这些样本去解释整体是有偏的。因此,我们用丈夫和妻子的年龄差对生育孩子的成本进行替 代,夫妻年龄差越大,婚姻的挤压越明显,家庭对未来子女婚嫁成本的预期也越高。在衡量生育孩子的效用时,设置了“你是否购买了养老保险”的问题,选项包括购买了新农保、购买了商业养老保险、同时购买了商业养老保险和新农保、没有买保险,分别赋值为 1 ~ 4。社会保障效用是子女对父母最明显的和直接的效用,我们可以用这个变量对生育孩子的期望效用进行替代。
在考察他人影响时,询问了“你的亲戚中不要二孩的多吗”,对答案为很少、较少、一般、较多、很多的分别赋值为 1 ~ 5。用该变量表示其他家庭的生育行为对育龄妇女生育意愿的影响。参照其他对生育意愿的影响的分析,选择育龄妇女的年龄、文化程度、女性家庭地位、是否有流动经历、家庭经济状 况作为控制变量。分别对本科及以上、大专、中专、 高中、初中、小学、文盲赋值为 1 ~ 7; 对女性家庭地位,选择“家中谁管钱”作为衡量女性家庭地位的指标,育龄妇女自己管钱赋值为 1,其他人管钱赋值为 0; 对是否有流动经历,选择是的赋值为 1,选择否的赋值为 0。

(二) 计量结果与稳健性检验
1. 生育孩子成本对生育意愿的影响
从模型的整体结果来看,孩子的生育成本是影响妇女生育意愿的重要因素。在分别控制了个人的特征和流动经历之后,体现生育成本的变量夫妻年 龄差在各模型中均显著。控制了年龄和外出务工经历后,夫妻年龄差对不生育二孩具有显著的影响,夫妻年龄差每增加 1 岁,不生育二孩的概率增加 7% ,在改变自变量后,该变量仍然稳健,回归结果显示夫妻年龄差每增加 1 岁,生育二孩的概率增加 7. 9% 。 丈夫和妻子的年龄差越大,婚姻的挤压在家庭内部就越明显,家庭内部越能感受到婚姻挤压带来的压力,生育孩子的期望成本就迅速上升。尤其是当可能生育男孩时,对婚嫁的期望成本会迅速上升,从而降低了家庭的生育意愿。这在我们调查的过程中也得到了证实,宜昌地区具有明显的女孩偏好,如果只能生育一个孩子,7. 3% 的育龄妇女偏好生育男孩, 46. 5% 的育龄妇女偏好生育女孩( 见表 1) 。
2. 孩子效用下降对生育意愿的影响
商业保险对不生育二孩产生了显著的正向影响,在调整变量后,具有商业保险对生育意愿的影响仍然稳健。在调查中,养儿防老仍然是育龄妇女生育子女的一个比较重要的目的,15. 2% 的育龄妇女认为其是生育子女的首要目的,而社会保障对养儿防老具有一定的替代作用。随着家庭收入水平的逐渐提高,购买保险成为抵御养老风险的重要手段,家庭的生育决策发生相应改变。
3. 政策约束与二孩生育意愿
在三个模型中,普遍二孩政策都对生育意愿产生了影响。以普遍二孩政策已经落地的少数民族自治县为参照组,没有全面放开二孩政策对不愿意生育二孩产生了正向的影响,即未全面放开二孩政策使得育龄妇女生育二孩的意愿下降,但我们无法找到直接的证据证明这种影响关系是显著的。对具备二孩生育意愿的组别而言,全面放开普遍二孩政策使得育龄妇女的二孩生育意愿上升,但这种影响并不显著。
4. 扩散效应与低生育水平的形成
亲戚朋友中想要二孩的数量对育龄妇女的生育 意愿造成了影响,周围不愿生育二孩的家庭数量对育龄妇女降低生育意愿的影响是正向的,改变变量后我们发现,其他家庭的生育决策仍然对妇女生育意愿的影响非常显著。这印证了前文的推理,无论改变原有生育策略( 降低生育意愿) 的家庭比重有多少,只有存在这部分家庭,其他家庭根据对降低生育意愿家庭的观察,通过期望收益和期望成本的比较,改变家庭生育策略,这是低生育水平形成的过程。
5. 稳健性检验
对是否参加了养老保险重新分类,按照是否参 加了商业保险进行划分,用 1 和 0 分别表示参加和 未参加,重新对变量进行多元 logistic 回归。在调整 了变量的分类方法后,计量的结果依然稳健。计量 结果显示⑥,生育的成本对不愿意生育二孩的育龄 妇女影响是正向的,生育的效用对不愿意生育二孩 的育龄妇女影响是负向的,政策约束没有对育龄妇 女的生育意愿造成显著的影响,周围人的影响对不 愿意生育二孩的育龄妇女影响是正向的。
四、简单的结论
本研究从生育孩子的成本效用分析入手,探讨了城市化和现代化背景下生育孩子的成本上升和收益下降的过程,分析二者如何影响家庭的生育行为,如何进一步对整个区域的生育水平造成影响,并利用 2015 年 8 月份在湖北省宜昌市的抽样调查数据进行了验证。
据前文的理论分析和实证检验,我们得到了以下基本结论: 生育孩子成本和收益的失衡是家庭生育决策发生变化的根本原因,单个家庭通过生育孩子的期望成本和期望收益的比较来决定家庭的生育行为,外出务工加剧了生育孩子成本和收益的失衡,从而强化了低生育水平形成的机制。特别地,教育成本上升导致孩子抚育成本的迅速上升,婚姻挤压造成了婚嫁成本尤其是男性婚嫁成本的上升,教育成本和婚嫁成本的上升是导致生育成本上升的重要因素。
此外,家庭模式的核心化以及子女外出务工导致子女养老保障功能的弱化,子女养老保障功能的弱化是导致子女收益下降的重要原因。通过对低生育家庭生育策略的比较和学习,区域内家庭的低生育策略开始扩散,区域的低生育水平得以强化。生育政策的约束不是低生育地区生育水平下降的直接原因,“普遍二孩”政策的放开对提升低生育地区的生育水平作用十分有限。
参考文献:
陈卫,黄小燕. 1999. 人口转变理论述评[J]. 中国人口科 学( 5) : 51 - 56.
陈晓毅. 2015.“老龄化”和“少子化”是否影响了农村居 民消费? ———基于静态和动态空间面板模型的实证 研究[J]. 北京工商大学学报 ( 社 会 科 学 版) ( 3 ) : 118 - 126.
陈字,邓昌荣. 2007. 中国妇女生育意愿影响因素分析 [J]. 中国人口科学( 6) : 75 - 81.
风笑天. 2009. 青年个体特征与生育意愿———全国 12 城 市 1786 名在职青年的调查分析[J]. 江苏行政学院学 报( 4) : 62 - 68.
李建新,彭云亮. 2012. 我国实际低生育水平的影响因素 分析———邦戈茨低生育率模型应用[J]. 人口与经济 ( 4) : 13 - 20.
李树茁. 1998. 性别歧视和婚姻挤压: 中国、韩国和印度 的比较研究[J]. 中国人口科学( 6) : 22 - 30.
梁宏. 2007. 广东人口意愿生育数量的影响因素分析 [J]. 南方人口( 3) : 5 - 10.
穆光宗. 2005. 以“人口安全”引领计划生育综合改革 [J]. 中国人口科学( 2) : 90 - 94.
彭希哲,黄娟. 1993. 试论经济发展在中国生育率转变过 程中的作用[J]. 人口与经济( 1) : 25 - 30.
秦芳芳. 1987. 中国计划生育对生育率影响的评估[J]. 中国人口科学( 2) : 12 - 21.
秦雪征. 2010. 社会安全网、自我保险与商业保险: 一个 理论模型[J]. 世界经济( 10) : 70 - 86.
石智雷,杨云彦. 2014. 符合“单独二孩”政策家庭的生 育意愿和生育行为[J]. 人口研究( 5) : 27 - 40.
宋健,陶椰. 2012. 性别偏好如何影响家庭生育数 量? ———来自中国城市家庭的实证研究[J]. 人口学 刊( 5) : 3 - 11.
王天宇,彭晓博. 2015. 社会保障对生育意愿的影响: 来自新型农村合作医疗的证据[J]. 经济研究( 2) : 103 -117.
杨云彦,徐映梅,向书坚. 2003. 就业替代与劳动力流动: 一个新的分析框架[J]. 经济研究( 8) : 70 - 75.
赵锋. 1998. 生育率下降的经济分析理论框架[J]. 人口 与经济( 2) : 49 - 53.
赵忠. 2016. 如何从生命周期理解我国的收入不平等 [J]. 北京工商大学学报( 社会科学版) ( 2) : 1 - 9.
郑真真,李玉柱,廖少宏. 2009. 低生育水平下的生育成 本收益研究———来自江苏省的调查[J]. 中国人口科 学( 2) : 93 - 102.
LEIBENSTEIN H. 1974. An interpretation of the economic theory of fertility: promising path or blind alley [J]. Journal of Economic Literature,12( 2) : 457 - 479.
WOLF A P. 1986. The preeminent role of government intervention in China’s family revolution[J]. Population and Development Review,12 ( 1) : 101 - 116.
YUAN F. 1989. The status and role of the elderly in Chinese families and society[J]. Chinese Sociological Review,22( 1) : 86 - 99.
