【摘要】现有理论认为户籍制度是农村留守儿童的根本原因,然而即使户籍制度已放宽,依然存在大量留守儿童。文章从家庭决策的视角出发,基于2018年流动人口动态监测调查数据(CMDS),使用1979年和1983年全国各地区获得“三八红旗手”称号的女性比率构建工具变量,实证检验了女性地位对农民工子女留守的影响及其内在机制。研究发现,女性地位的提升能够显著降低农民工子女留守的概率,该结论在进行重新定义样本和调整核心变量的测度等稳健性检验后仍然成立。异质性分析发现,女性地位的提升显著减少了女孩留守现象,对男孩的影响不显著。机制分析表明,女性地位的提升,增强了家庭对子女成长发展的关注;同时,女性地位提升后家庭生育孩子数量减少,家庭成员的工作时长缩短,可用于照料子女的时间和物质资源更充裕,有效降低了子女的留守概率。文章结论为理解近年来户籍制度改革不断深化背景下的儿童留守现象提供了新的视角,也为有效减少儿童留守现象提供了政策启示。
【关键词】留守儿童;女性地位;家庭决策;农民工;性别差异
【文献来源】石智雷,宁桃丽.女性地位、家庭决策与农民工子女留守[J].中国人口科学,2024,38(05):82-97.
一、引言
改革开放以来,户籍制度改革与土地制度改革联动,释放了劳动力自由流动的权利和空间,同时导致了数量庞大的留守儿童,这引起了政府和学界的高度重视。近年来,户籍制度改革不断深化,中小城市已经全面放开了落户限制,随迁子女就地入学的一系列公共政策也不断完善。尽管如此,留守儿童数量仍然很多,甚至在总量上呈现不降反升的趋势。截至2020年,中国农村留守儿童规模达4177万人,占全部农村儿童的比例为37.9%,这意味着每10名农村儿童中就有近4名儿童留守。已有大量研究发现,父母外出务工会对留守儿童的身心健康、学习表现造成较为严重的负面影响(丁继红、徐宁吟,2018),早期的留守经历也不利于他们成年后的教育获得、人际交往和职业发展等(石智雷等,2023)。儿童是未来人力资源的重要组成部分,大量的儿童留守不利于人力资本积累和人口高质量发展。探究儿童留守的潜在原因,对于有效减少留守现象、促进经济社会可持续发展至关重要。
目前学界对儿童留守的解释主要有两种视角。一是家庭禀赋视角,关注家庭成员的年龄、文化程度、职业和收入等因素,认为儿童留守与否取决于家庭成员所共有的人力资本、经济资本等家庭资源和能力(陶然,2011;赵安琪、吕康银,2022)。二是制度视角,认为城乡二元户籍制度是造成儿童大量留守农村的最主要原因。从该视角出发的文献重点关注城市落户门槛、随迁子女的入学门槛以及各项基本公共服务可获性等(谌新民、魏东霞,2018;吴贾、张俊森,2020;王茹等,2023)。近年来,在新型城镇化建设和户籍制度改革等一系列政策支持下,制度因素和经济因素对儿童随迁的约束力越来越弱,但仍有大量的农村儿童留守老家,这表明儿童留守背后的深层次原因仍然有待发掘。
儿童留守与否作为一项重要的家庭决策,不仅受到制度、经济等外在因素的影响,还与家庭内部成员紧密相关。未成年子女缺乏独立的生存和决策能力,决定他们流动、留守和入学等各项事宜的主要是他们的父母。在中国传统文化观念中,母亲在育儿中的作用和意义被高度强化,其通常在孩子的发展过程中扮演更为重要的养育角色(李安琪、吴瑞君,2021)。大量关于家庭决策的研究表明,家庭中女性的地位是影响决策结果的一个重要因素,尤其是与儿童发展相关的决策(Thomas,1990;Richards等,2013)。但是,目前关于儿童留守成因的若干研究中,对于母亲地位这一重要家庭特征变量的关注还很匮乏。这可能是由于中国历史上很长一段时间都是男性当家作主,导致研究仍然遵从了传统思路即仅仅关注男性特征或家庭整体特征,而忽视了女性在这一重要决策中作用的特异性。如今,女性的社会和经济角色发生了显著变化,她们对家庭和社会的影响不容忽视。鉴于此,本文试图打开家庭这只“黑匣子”,从家庭决策视角探讨女性地位对农民工家庭中儿童留守决策的影响。如果家庭中母亲的地位提升了,话语权提高了,儿童留守现象会减少吗?文章将重点回答这一问题。
基于以上考虑,本文使用2018年流动人口动态监测调查数据,考察了女性地位对农民工子女留守这一家庭内部决策的影响及其内在机制。相较于已有文献,本文的边际贡献可能有以下几点。第一,本文首次使用改革开放初期县级层面的三八红旗手比率作为女性地位的工具变量,在尽可能剔除了遗漏变量等干扰因素后,识别了女性地位与农民工子女留守之间的因果关系。第二,已有文献多关注流入地宏观因素对子女留守的影响,但尚未对直接做出儿童留守决策的家庭本身给予足够关注。本文从家庭决策视角出发探讨女性地位对儿童留守的影响,拓展了研究视角。第三,本文证实了智力经济学所强调的投资女性带来的红利效应,探究了女性地位提升如何通过影响家庭决策发挥积极作用,为该类文献提供了有效印证。
二、文献综述与研究假设
(一)文献综述
1.家庭特征对农民工子女留守的影响
家庭是做出成员留守、随迁等各类决策的最终场所,家庭因素对儿童留守的影响一直以来备受关注。已有研究重点探讨了收入水平、父母文化程度以及子女性别等因素的作用。大多数学者认为收入水平是影响家庭决定子女是否留守的重要因素,家庭平均收入越高或非农收入占比越高,家庭面临的资源约束越小,儿童留守的可能性越低(陶然等,2011;韩俊强、袁诚扬,2018),也有少量研究表明,农民工收入对儿童留守并无显著影响(梁宏、任焰,2010)。在父母文化程度这一因素上,有研究发现父母受教育水平越高的家庭,越可能带子女到打工城市上学,因为这些家庭往往工资更高,承担流入地高昂学费的能力更强(许召元等,2008),也有研究验证了两者之间的负相关关系(宋月萍、谢卓树,2017)。另外,中国存在较强的男孩偏好,这种偏好也会影响家庭在生育、子女人力资本投资等各方面的选择,孙妍等(2020)的研究表明农村流动人口家庭的迁移决策同样受男孩偏好的影响,家庭更倾向于将男孩带在身边,而女孩留守的概率相对较高。
上述文献在考虑农民工子女留守决策时,将家庭视为一个统一的决策单元,家庭成员具有共同偏好和利益,但其内部成员之间的讨价还价过程完全被忽视了。Becker(1965)提出,家庭成员具有不同偏好和禀赋,单个成员的决策受制于其讨价还价的能力,他将议价能力引入家庭分析的范畴,打破了新古典模型将家庭视为单一决策者的理论假设。大量实证研究也证明家庭内部的讨价还价能力会影响家庭决策结果。因此,家庭决策方面的研究逐渐从单一模型向可靠的家庭议价模型转变(Doss,2013)。基于议价能力讨论家庭决策需要明确两个问题:一是在很多发展中国家,尤其是农村家庭中往往有多个成年人,议价能力广泛存在于夫妻、父子、母子之间,考察所有成员之间的关系不具有现实性,所以现有理论或经验研究往往仅考察已婚夫妻之间的相对议价能力,议价能力的概念也因此日益向性别差异视角下集中,转向为家庭分工,家庭地位等方面的探讨(席艳乐等,2023);二是现实中很难直接获得个体的偏好信息,所以现有文献往往依赖于Thomas(1990)提出的推理方法,即当女性议价能力的代理变量对所讨论的结果变量有显著影响时,就推断女性对这种结果有偏好。比如,如果女性地位越高的家庭中食物支出越多,那么就可以推断女性更偏好把钱花在食物上,而且她们能够通过提高自己的地位来获得这种结果。
在中国,工业化与城市化进程的推进加速了农村家庭生产和生活方式的转变。传统的农村大家庭结构已经逐渐瓦解,基于性别、辈分和年龄的传统父权制家庭权力结构发生了动摇,祖辈因其身份而拥有的家庭权力和地位已经日渐式微,与此同时,女性接受教育并进入劳动力市场的情况越来越普遍,年轻女性在家庭中的地位普遍提升。因此,基于议价能力模型来探究农民工家庭决策的“黑匣子”是可行的,且具有现实代表性。
2.女性地位对农民工子女留守的影响
大量研究引入议价能力来分析家庭决策问题,其中一类文献从性别视角探讨了女性地位与家庭中儿童成长决策之间的关系,重点关注女性所占有和控制资源的变化对儿童人力资本结果的影响。在早期的研究中,Thomas(1990)基于巴西全国支出调查数据,检验了家庭中父亲和母亲的非工资收入对儿童健康结果的影响,发现相比于父亲,母亲的收入对儿童存活率、营养摄入、各年龄身高的影响显著更大。Imai等(2014)利用印度全国家庭健康调查数据,使用母亲和父亲受教育年限的比值表征女性相对地位,发现女性相对地位较高的家庭中孩子营养状况更好。此后,一系列针对南非、中国等发展中国家的经验研究为上述结论提供了有力支持,表明当女性在家庭决策中占据优势地位时,家庭倾向于在子女健康、教育方面加大投入,促进了儿童健康水平提升和教育获得(Duflo,2003;Gitter等,2008;Qian,2018)。随着研究的不断深入,部分学者认为家庭中女性地位对子女的影响并不总是正向的,而是更为复杂(Lancaster等,2006)。Felkey(2013)使用女性个人收入占总收入比例、女性相对于男性受教育水平的高低两项指标代表女性权力,检验了保加利亚女性权力对家庭教育支出的影响,发现女性权力与儿童和教育支出之间呈现“倒U”形关系,当女性权力超过某一转折点后,额外的女性权力会给家庭福利带来负面效果。
可以看出,现有文献主要集中在探讨女性地位对子女教育和健康等方面的影响,但对于农民工子女这一城乡二元体制下的特殊群体,从家庭决策视角考察女性地位对他们留守影响的研究尚显不足。少数可供参考的研究注意到了女性在子女迁移决策中与男性的差异。如,杨雪和马肖曼(2016)基于2013年CMDS数据,实证检验了父亲特征和母亲特征对子女随迁的不同影响,发现父亲受教育水平对子女随迁有显著的积极影响,而母亲受教育水平和个人月收入的影响并不显著。也有研究注意到了家庭中的“先行迁移者”或“当家人”的性别对子女迁移影响的差异。洪小良(2007)发现,与男性相比,当女性是家庭中最先迁移的人时,她带动配偶、子女等迁移的可能性更大。候佳伟(2009)的研究表明,当家庭中对迁移决策起重要作用的“当家人”是女性时,家庭成员一次性全部迁移的可能性比男性为“当家人”的家庭大2.2倍。以上研究注意到了在迁移决策中的性别差异,并通过实证方法进行了比较,但这些研究没有对回归模型可能存在的内生性问题进行详细讨论,因此所得结果可能存在估计偏误。另外,上述几项研究也没有细究差异性影响背后的深层原因,没有关注到女性地位这一重要的家庭特征变量。
(二)研究假设
儿童留守在家或随外出务工的父母一同流动,是家庭内部决策的结果。在家庭重心已经从以父子关系为主轴转向以夫妻关系为主轴的当下,父母可被视为儿童留守与否的主要决策者。根据家庭议价能力模型,当夫妻双方在决策过程中展现出不同偏好时,他们之间的权力结构会内在地影响家庭基本决策及最终结果(殷浩栋等,2018)。出于生理和社会原因,女性可能比男性对孩子更无私,更倾向于将家庭资源配置在子代的教育、健康等人力资本支出上,做出有利于子女成长和发展的决定(Richards等,2013)。对农民工家庭而言,亲子分离会给子女童年期的成长以及成年后的发展带来诸多负面影响。女性地位的提高使家庭决策更有利于儿童,子女留守概率因此减小。据此,提出研究假设1:女性地位提升会显著降低农民工子女的留守概率。
子女留守与否是一项基于资源约束和结构限制的重要选择和决策。除宏观制度等外界条件限制外,儿童随迁的一大障碍因素是家庭资源的限制。不具有劳动能力的未成年子女在流入地生活和学习,需要大量的时间、精力和财力投入。基于上述分析,本文考虑女性地位提升可能通过影响家庭对子女成长发展的关注、家庭生育孩子数量和家庭成员劳动供给时间等,对子女留守决策结果产生影响。
其一,在孩子的抚育和教养方式上,不同家庭成员之间表现出明显的代际和性别差异。祖辈看重维系代际关系的紧密性,对孙辈往往更多地采取宽容溺爱的态度,如纵容儿童对非健康食物的消费(刘贝贝等,2019)。受传统性别分工影响,父亲多将为家庭提供经济支持视为其首要责任,在未成年子女日常生活照料中普遍“缺席”。与祖辈和父亲不同,母亲天然地与孩子的情感依恋最深,她们重视孩子身心健康、学习成绩等方方面面,照料方式和管教方式也更为细致和科学(肖索未,2014)。因此,当女性家庭地位更高时,家庭整体上表现为对儿童成长和发展更高的关注度,在留守与随迁的选择中,会更倾向于让子女随迁,以避免留守带来的诸多不良后果。据此,提出研究假设2:女性地位提升显著提高了家庭对子女成长和发展的关注,进而降低子女留守概率。
其二,生育行为使女性承担更多抚育、照料等社会再生产相关的无偿劳动,并带来“母职惩罚”,所以相较于男性,女性的生育意愿往往更低(石智雷、郑州丽,2023)。而女性家庭地位的提升,增强了她们在生育决策中的话语权,这有利于家庭生育结果更符合女性的偏好,即生育更少数量的孩子。根据同胞资源稀释假说,在家庭资源既定的约束下,兄弟姐妹数量的增加会使每个孩子能够获得的资源份额减少。于农民工家庭而言,当孩子数量较多时,家庭难以有充裕的时间、金钱和精力携带并照顾所有子女,孩子们对随迁机会的竞争更为激烈,而当子女数量较少时,每个孩子随父母迁移的机会增大,留守概率减小。据此,提出研究假设3:女性地位提升显著减少了家庭生育孩子的数量,进而降低子女留守概率。
其三,外出务工的父母没有空余时间照料子女是儿童留守老家的一个重要原因。农民工进城务工的主要目的是获得更好的就业机会并“挣更多钱”,但由于就业技能低,他们往往以超长工作时间的过度劳动为代价,来换取较高的收入(郭凤鸣,2020)。根据Becker(1965)的家庭劳动供给理论,个体的劳动供给决策是家庭成员共同决策的结果。农民工在选择工作类型、决定劳动供给时长等方面,通常需要同配偶协商,并互相影响。随着受教育水平的提升,女性参与市场劳动并获得正规工作的可能性增大,这有利于家庭经济状况的改善,其配偶在外部劳动力市场中的供给时间也相应适当减少。这种变化使得家庭用于照料子女的时间资源更为充裕,提高了子女随迁的可能性。据此,提出研究假设4:女性地位提升显著减少家庭成员的劳动供给时间,从而降低子女留守概率。
三、研究设计
(一)女性地位与家庭决策的分析框架
农民工子女留守原籍或跟随父母共同流动是一项家庭内部决策,由家庭成员商讨后决定(石智雷、杨云彦,2012)。农村家庭中成员结构复杂,全面考察家庭内部成员之间的关系有很大难度,且不具有现实代表性,所以本文从性别差异视角出发,主要关注在家庭决策、资源配置中占主导地位的夫妻,即孩子的父母,并从母亲地位的角度切入,关注女性相对其配偶的话语权和议价能力。已有实证研究中关于家庭内议价能力的测算指标主要有个人层面的受教育水平、收入、相对劳动收入、社交网络变量等客观指标,也有根据“孩子的升学就业、家庭大宗物品购买的主要决策者是谁”“做主要决策次数更多者是谁”等构造的主观指标。囿于微观调查数据自身的限制,主观指标的量化多缺乏稳健数据支持,而使用客观指标往往会面临内生性问题(席艳乐等,2023)。
男性与女性的收入比是目前被广泛使用的家庭内部议价能力衡量指标,但使用该指标会将样本限制在夫妻双方都有工作的群体中,可能会造成选择偏误。因此本文考虑使用教育方面的两个变量来衡量家庭决策中女性的地位,分别是女性受教育年限、女性相对于配偶的学历高低。选择这两个变量主要出于两方面的考虑,一是在中国的社会文化情境下,受教育水平可以视为与收入、个人社会经济地位具有高度关联性,比其他指标更稳定、更容易测量且具有更高信度(李煜,2008)。二是该变量能够有效代表家庭决策中的女性地位。受教育水平增加或相对配偶受教育水平更高都能代表女性个人在家庭中议价能力的增强,在家庭决策中拥有更大话语权,处于更有利地位。
不可避免地,使用个体层面的教育变量会受到内生性问题的困扰,显著影响结论可靠性。内生性主要有三个来源。一是反向因果,本文中,子女留守与否是父母被访时孩子所处的状态,无法对他们的父母在多年前已完成的受教育水平产生影响,因此女性地位和子女留守之间的反向因果关系可以避免。二是测量误差问题。以往社会在关注留守儿童发展问题时,倾向于夸大留守儿童的负面特征,将“留守儿童”等同于“问题儿童”,所以有些父母在受访时可能会隐瞒子女的留守事实。本文依据孩子的居住地信息来确定儿童的留守或随迁状态,未提及“留守”相关字眼,因此测量误差问题并不明显。三是遗漏变量。遗漏变量等潜在的内生性来源无法彻底排除,如教育资源可及性、个人和家庭教育观念等可能是同时影响父母受教育经历和子女留守的潜在变量,这些无法或难以直接观测到的变量会导致模型系数估计出现偏误,影响研究结果。针对遗漏变量问题,本文在尽可能控制家庭特征、流动特征的同时,考虑使用改革开放初期县级层面的三八红旗手比率作为女性地位的工具变量。
选择该工具变量的原因有以下两点。一是改革开放初期各地区三八红旗手比率与女性地位之间具有很强的相关性。“全国三八红旗手”是妇联颁发给优秀劳动女性的荣誉称号,表彰对象是各个时期为国家建设作出杰出贡献的先进女性。改革开放初期,各行各业“百花齐放”,涌现出更多的巾帼模范,评选并被表彰为三八红旗手的优秀女性覆盖了社会各个领域。这样的评选活动一方面树立了鲜明旗帜和学习榜样,带动了更多女性向先进学习,正视自己的价值,提高自身素质并融入主流社会中,积极地投身于国家各项建设;另一方面也是对女性贡献和价值的有力肯定,引导民众逐渐转变对女性的传统角色观念,并越来越尊重和重视女性。因此,一个地区在改革开放初期三八红旗手比率越高,意味着该地区的女性地位越高。二是该工具变量是相对外生的。改革开放初期的三八红旗手评选活动距今已有30多年,地区评选情况不会直接影响子女是否留守。
(二)数据来源
1.中国流动人口动态监测数据
本文所使用的数据来自2018年中国流动人口动态监测调查数据(ChinaMigrantsDynamicSurvey,CMDS)。该调查是专门针对流动人口进行的全国性大规模抽样调查项目,具有全国代表性。调查收集了受访者个人、配偶、家庭成员的基本信息,包括受教育水平、户口性质、户籍地信息等,还记录了流动家庭每个孩子的基本状况,如孩子的年龄、性别、居住地信息等,为本文从微观层面研究女性地位与子女留守之间的关系提供了数据基础。另外,研究中还匹配了流入地城市层面的社会经济发展与教育水平特征相关的数据,数据来源于《中国城市统计年鉴》。
基于研究需要,本文对数据做以下处理。(1)删除非农业、非农转居、居民和其他户籍样本,只保留农转居和农业户籍样本。(2)剔除了父母婚姻状态为丧偶、离异等无法确定女性地位水平的样本。(3)将样本限制在受访者与配偶均无本地户籍且两人外出到同一地点的样本中。(4)将记录受访者家庭中一个或多个子女信息的宽数据转换为反映流动家庭中单个子女个体以及其父母、家庭信息的长数据。(5)参考目前学界在研究留守问题时将留守儿童界定为非劳动年龄人口的做法,本文仅保留年龄在15周岁及以下的儿童样本。在删除主要分析变量存在缺失值的样本之后,总共获得80959个样本。
2.《全国三八红旗手名录(1960~2019)》和第三次全国人口普查数据
三八红旗手数据主要通过全国妇联宣传部主编的《全国三八红旗手名录1960~2019》一书获取。该书籍记录了1960年至2019年期间所有获得过“三八红旗手”称号的女性姓名及其工作单位信息。本文选取并使用了1979年和1983年两个年份的三八红旗手数据,主要原因有两点。一是在新中国成立后,全国范围对妇女先进个人进行的大规模表彰共计三次,分别是在计划经济时期的1960年,改革开放初期的1979年和1983年,每次规模近万人。相较于计划经济时期,改革开放初期的发展理念和社会评价体系与当前的主流意识形态更为接近和一致、更具引领性。二是改革开放初期两个年份评选的三八红旗手数量约两万名,规模占到了改革开放后评选的所有红旗手数量的70%以上,样本代表性很强。通过大量的文本分析、信息搜索和汇总计算工作,本文获取了全国2800多个市辖区、县、省直管县等县级区划在改革开放初期两个年份的三八红旗手数量信息。另外,根据第三次全国人口普查(1982年)中各地区分性别统计的人口总数,整理出各区县在当年的女性人口数。本文通过以上两项指标计算出了各区县每万名女性中三八红旗手的数量,即全国各地区的三八红旗手比率。
(三)模型构建
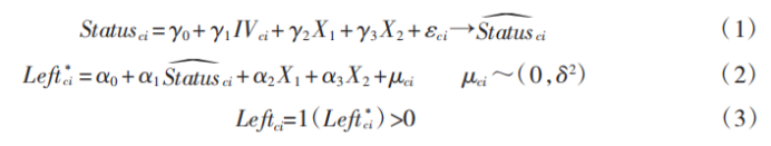
为识别女性地位对农民工子女留守的影响效应,本文构建了如下IV-probit模型:

其中,Leftci代表户籍地在区县c的农民工子女i是否留守,
为与之对应的隐变量;Statusci为子女i母亲的家庭地位,通过受教育水平和相对受教育水平两个指标所确定;X1为反映个人及家庭主要特征的控制变量,X2为与流动特征相关的控制变量;IVci为女性受教育水平和女性相对受教育水平的工具变量;εci和μci为随机干扰项。通过第一阶段回归方程(1)可以获得女性地位的拟合值
;第二阶段回归方程使用
对被解释变量子女留守进行回归,从而获得系数估计结果。
(四)变量说明与描述性统计
本文的被解释变量为子女是否留守。流动人口动态监测调查的受访者是调查时居住在本地的非户籍人口,因而将“子女现居住地”为“户籍地”和“其他地方”的16岁以下农民工子女界定为留守状态并赋值为1,居住在“本地非本户”和“本户”的界定为随迁状态并赋值为0。
本文的核心解释变量为女性地位,采用教育方面的两个变量来表征。一个是女性农民工受教育年限的绝对值,将未上过学、小学、初中、高中、大专、本科和研究生分别赋值为0、6、9、12、15、16和19。另一个是二值变量,比较女性农民工与其配偶受教育水平的相对高低,当女性学历高于其配偶时赋值为1,否则赋值为0。
控制变量包含受访者的个人和家庭特征、流动特征等方面。其中,个人和家庭特征包括受访者的年龄、民族、单位性质、丈夫的受教育年限、家庭平均月总收入等,还包括孩子的年龄、性别和孩次等子女信息。流动特征主要包括受访者的流动范围、流动时长。此外,还控制了流入地2018年的社会经济特征,包括人口规模、人均生产总值、人均中小学数量等。
本文主要变量的定义及描述性统计结果如表1所示。具体来看,样本中留守儿童占比为23.8%,随迁儿童占比为76.2%。样本中儿童母亲的受教育年限均值为9.650年,儿童父亲的受教育年限均值为10.061年,儿童母亲学历高于其配偶学历的比例为14.2%。样本儿童年龄均值为7.279岁,男孩占比为54.7%。受访者的平均年龄为34.456岁,在国有部门工作的比例为3.4%,在非国有部门工作的为81.5%,没有工作的占比为15.0%,每周平均工作时长为52.861小时。从流动特征看,49.0%的受访者为跨省流动,33.2%为省内跨市流动,17.7%为市内跨县流动,受访者的平均流动时长为6.179年。图展示了按女性受教育年限划分的留守儿童占比。可以发现随着女性受教育年限的提高,留守儿童比例逐渐降低。
四、实证结果分析
(一)女性地位对农民工子女留守的影响
本文首先考察女性地位对子女留守的影响。考虑到使用Probit模型可能会造成估计结果存在偏误,本研究选择1983年各地区的三八红旗手比率作为工具变量,并使用最大似然估计方法IV-Probit模型进行估计。本文首先对工具变量与内生解释变量的相关性以及弱工具变量问题进行检验。表2展示了模型的一阶段估计结果,全样本估计结果显示,三八红旗手比率与女性地位的两个代理变量之间都存在显著正相关关系。模型Wald外生性检验的p值均小于0.01,即在1%水平上认为女性地位是内生解释变量。此外,本文
参考两步法进行弱工具变量检验,AR检验和Wald检验均表明不存在弱工具变量问题。以上检验结果说明有必要使用工具变量消除内生性问题,且本文所选取的工具变量具有合理性。



尽管已经充分讨论了工具变量的相关性,但仍需要明确三八红旗手比率除了通过女性地位之外,是否还会通过其他渠道影响子女留守。考虑到地区经济发展是影响儿童留守的重要因素,本文以工具变量对地区的各经济因素分别进行回归,以考察三八红旗手比率是否可能通过地区经济发展对儿童留守产生影响。表3结果显示,所得结果在统计上都是不显著的,这在一定程度上基本可以说明本文所使用的工具变量满足排他性约束检验,不会通过女性地位以外的其他途径对当前农民工家庭子女留守产生实际影响。

表4展示了使用IV-Probit模型的估计结果。由模型1、模型2可知,女性受教育水平的提高能够显著降低家庭中子女的留守概率,与女性学历低于男性的家庭相比,女性学历高于男性的家庭中子女留守概率显著更低。另外,表4还展示了按照孩子性别将样本划分为男孩、女孩两组后的估计结果,对比模型3和模型5可以发现,女性受教育水平的提高能够显著降低女孩的留守概率,对男孩的影响不显著。模型4和模型6的结果显示,当女性教育水平高于其配偶时,女孩的留守概率显著低于参照组,而两组中男孩的留守概率无显著差异。以上结果说明女性地位确实会影响家庭内部的决策结果,家庭中女性地位的提升能够显著降低子女的留守概率,且这种影响表现出了一定的性别差异:女性地位的提升能够显著降低女孩的留守概率,而对男孩的影响不显著。

另外,本文针对全样本进行估计的模型回归结果显示,孩子性别这一控制变量(男孩为1,女孩为0)的系数显著为负,说明就农民工家庭目前所做出的儿童迁移决策而言,女孩受到了一定程度的歧视,表现为留守概率高于男孩,这与以往的研究结论一致,即农民工家庭在儿童迁移决策中存在男孩偏好,更倾向于将男孩带到流入地城市学习,而女孩更可能留守在老家(孙妍等,2020;韩俊强、袁诚扬,2023)。而本文的研究结果显示,当家庭中女性地位提高时女孩留守现象显著减少,这说明女性地位的提高缓解了女孩在家庭迁移决策中的劣势地位,缩小了家庭在人力资本投资方面的性别差异。上述结果为性别平等的代际传递效应提供了证据。
(二)稳健性检验
为获得更加稳健的结论,本研究通过重新定义样本和调整核心变量测度等方法,使用IV-Probit模型对一些可能的竞争性假说进行了检验。第一,调整留守的定义。以家庭为样本单位并综合考虑所有子女的留守状态,当农民工有16岁以下子女,但没有子女与他们共同居住时,视为子女留守,否则视为子女随迁。第二,调整留守儿童的年龄界定。将未满18周岁的儿童均纳入样本中。第三,保留父母单方流动的样本。现实中也存在父母流动到不同地方或子女随父母单方流动的情况,在此对这些样本予以保留。第四,更换工具变量。使用1979年全国各地区的三八红旗手比率作为女性地位的工具变量。第五,仅保留迁入一年以上的样本。考虑到农民工可能在适应流入地生活后,才会携带子女迁移,在此剔除受访者流动时长在一年及以下的样本。上述检验结果呈现在表5中,结果显示,女性地位提升显著降低子女留守概率的结论具有稳健性。

五、机制检验
前文研究假设部分指出,女性地位提升使子女留守概率降低有三个可能的机制。在此,本文将机制变量作为结果变量,以“各地区三八红旗手比率”作为女性地位的工具变量,使用工具变量法估计女性地位对机制变量的影响。
(一)提高对孩子成长发展的关注
假设部分的分析表明,女性家庭地位的提高可能通过影响家庭的育儿方式和理念,增强家庭对子女成长与发展的关注,进而降低农民工子女的留守概率。为了验证这一机制,本文使用儿童接种疫苗情况来衡量家庭对子女成长发展的关注程度。表6中模型17、模型18报告了IV-Probit模型估计的结果,结果显示,女性地位越高的家庭中,孩子接种了免费疫苗的概率越高,这意味着女性地位提升时,家庭对子女成长发展的关注更多,为避免留守带给儿童诸多不良影响,家庭会倾向于携带子女共同流动,即儿童留守的概率降低。假设2得到验证。

(二)减少生育孩子数量
本文假设部分的分析表明,农民工家庭减少生育孩子数量可能是女性地位影响子女留守概率的一个重要机制。据此,本文根据问卷中“您本人有几个亲生子女”的问题收集信息,并生成“是否为独生子女”和“子女数量”两个变量进行机制分析。表7模型19、模型20以及模型21、模型22分别报告了使用IV-Probit和IV-2SLS模型的估计结果。结果显示,女性地位的提高显著减少了农民工子女数量,显著提高了孩子为独生子女的概率。实证结果说明,女性地位提升显著减少了家庭生育孩子数量,使家庭投入到每个孩子身上的资源相对更多,子女跟随父母迁移的可能性增大,留守的概率减小。假设3得到验证。
(三)减少劳动供给时间
本文假设部分的分析表明,女性家庭地位的提高能够通过减少自身及配偶的劳动供给时间,进而降低农民工子女的留守概率。为验证这一机制,本文使用受访者的工作时长和过度劳动状况来衡量劳动供给时间。根据问卷中“您这周工作时间为多少小时”的问题收集信息,生成“周工作时长”变量。另外,按照《中华人民共和国劳动法》中对于劳动者标准工作时间的规定,将每周工作时间超过40小时定义为过度劳动,生成“是否过度劳动”变量(周工作时长超过40小时赋值为1,否则赋值为0)。表8的模型23、模型24以及模型25、模型26分别报告了使用IV-2SLS和IV-Probit模型的估计结果,结果显示,女性家庭地位越高,女性自身及配偶的工作时间显著缩短,过度劳动概率显著降低。这意味着当女性的家庭地位提高时,家庭成员的劳动供给时间减少,家庭有更多空余时间用于照料随迁的子女,儿童留守老家的可能性降低。假设4得到验证。

六、结论与讨论
本文从家庭决策视角切入,利用2018年流动人口动态监测数据,采用工具变量法探讨了女性地位对农民工子女留守的影响及其作用机制。研究的主要发现如下。第一,女性地位的提升显著降低了农民工子女的留守概率,这一结论在替换被解释变量和改变样本范围的情况下仍然稳健。第二,女性地位的提升主要对女孩的留守概率产生显著影响,而对男孩的影响不显著。家庭在随迁决策中本就倾向于携带男孩共同流动,女孩处于劣势,而女性地位的提高缓解了这种“男孩偏好”,增大了女孩从家庭迁移中受益的可能性。第三,女性地位提升影响了家庭内部决策结果,主要通过增加家庭对子女成长发展的关注、减少家庭生育孩子数量和减少家庭成员劳动供给时间三条路径影响子女留守的概率。女性家庭地位的提升,意味着女性在家庭决策中更具话语权,家庭会生育更少的孩子,养育方式也更有利于孩子的成长和发展;同时,女性地位的提高会影响家庭的劳动供给,减少女性及其配偶的过长工作时间,增加了可用于照料随迁子女照料的时间。
本文研究结论的政策启示有两点。第一,母亲教育水平越高的家庭越重视资源在子女间分配的公平性,这种公平使女孩受益增大,但中国许多落后地区仍存在很强的重男轻女观念,导致女孩接受教育的机会远少于男孩。为改善女孩在家庭资源分配中的劣势地位,应引导家庭增加对女孩的教育投资,并加强义务教育法对儿童入学的约束,降低女孩的辍学率,以缩小资源获取和教育机会中的性别不平等,促进女性地位的提升,并形成良性循环。第二,鼓励和支持女性的政策具有溢出效应,在促进女性自身发展的同时有利于家庭长远的人力资本积累。在制定农村家庭帮扶和支持政策时,应具有性别视角地设定政策实施的对象,特别关注女性并给予她们更多资源支持和政策倾斜,以此增强女性在家庭决策中的参与度和话语权,进而推动家庭内部的性别平等,并有效提高家庭的综合发展能力。
参考文献:
[1]丁继红、徐宁吟(2018):《父母外出务工对留守儿童健康与教育的影响》,《人口研究》,第1期。
[2]郭凤鸣(2020):《农民工过度劳动变动及影响因素分析》,《人口学刊》,第5期。
[3]韩俊强、袁诚扬(2023):《农村流动人口子女随迁的性别偏好研究》,《青年研究》,第3期。
[4]洪小良(2007):《城市农民工的家庭迁移行为及影响因素研究—以北京市为例》,《中国人口科学》,第6期。
[5]侯佳伟(2009):《人口流动家庭化过程和个体影响因素研究》,《人口研究》,第1期。
[6]李安琪、吴瑞君(2021):《母亲教育水平、婚姻教育匹配与子女非认知能力》,《北京社会科学》,第10期。
[7]李代、张春泥(2016):《外出还是留守?——农村夫妻外出安排的经验研究》,《社会学研究》,第5期。
[8]李煜(2008):《婚姻的教育匹配:50年来的变迁》,《中国人口科学》,第3期。
[9]梁宏、任焰(2010):《流动,还是留守?——农民工子女流动与否的决定因素分析》,《人口研究》,第2期。
[10]刘贝贝等(2019):《食物消费视角下祖辈隔代溺爱对农村留守儿童身体健康的影响——以湖北省为例》,《中国农村经济》,第1期。
[11]石智雷、杨云彦(2012):《家庭禀赋、家庭决策与农村迁移劳动力回流》,《社会学研究》,第3期。
[12]石智雷、郑州丽(2023):《性别视角下生育意愿研究》,《财贸研究》,第6期。
[13]石智雷等(2023):《中国流动人口二代成年后面临问题研究》,《农业经济问题》,第10期。
[14]宋月萍、谢卓树(2017):《城市公共资源对农村儿童随迁的影响》,《人口研究》,第2期。
[15]孙妍等(2020):《迁移、男孩偏好与教育机会》,《经济学(季刊)》,第1期。
[16]陶然等(2011):《流动还是留守:中国农村流动人口子女就学地选择与影响因素考察》,《中国农村经济》,第6期。
[17]王茹等(2023):《随迁还是留守:异地入学门槛对农村流动人口子女的影响》,《经济学(季刊)》,第6期。
[18]魏东霞、谌新民(2018):《落户门槛、技能偏向与儿童留守——基于2014年全国流动人口监测数据的实证研究》,《经济学(季刊)》,第2期。
[19]吴贾、张俊森(2020):《随迁子女入学限制、儿童留守与城市劳动力供给》,《经济研究》,第11期。
[20]席艳乐等(2023):《家庭内部议价能力研究进展》,《经济学动态》,第1期。
[21]肖索未(2014):《“严母慈祖”:儿童抚育中的代际合作与权力关系》,《社会学研究》,第6期。
[22]许召元等(2008):《农民工子女就学地点选择的影响因素分析》,《中国农村观察》,第6期。
[23]杨雪、马肖曼(2016):《乡—城新生代流动家庭子女的教育选择研究》,《教育与经济》,第1期。
[24]殷浩栋等(2018):《“母凭子贵”:子女性别对贫困地区农村妇女家庭决策权的影响》,《中国农村经济》,第1期。
[25]BeckerG.S.(1965),ATheoryoftheAllocationofTime.TheEconomicJournal.75(299):493-517.
[26]DossC.(2013),IntrahouseholdBargainingandResourceAllocationinDevelopingCountries.TheWorldBankResearchObserver.28(1):52-78.
[27]DufloE.(2003),GrandmothersandGranddaughters:Old-AgePensionsandIntrahouseholdAllocationinSouthAfrica.TheWorldBankEconomicReview.17(1):1-25.
[28]FelkeyA.J.(2013),Husbands,WivesandthePeculiarEconomicsofHouseholdPublicGoods.TheEuropeanJournalofDevelopmentResearch.25(3):445-465.
[29]GitterS.R.,BarhamB.L.(2008),Women’sPower,ConditionalCashTransfers,andSchoolinginNicaragua.TheWorldBankEconomicReview.22(2):271-290.
[30]ImaiK.S.,AnnimS.K.,KulkarniV.S.,etal.(2014),Women’sEmpowermentandPrevalenceofStuntedandUnderweightChildreninRuralIndia.WorldDevelopment.62:88-105.
[31]LancasterG.,MaitraP.,RayR.(2006),EndogenousIntra-HouseholdBalanceofPowerandItsImpactonEx-penditurePatterns:EvidencefromIndia.Economica.73(291):435-460.
[32]QianN.(2008),MissingWomenandthePriceofTeaInChina:TheEffectofSex-SpecificEarningsonSexImbalance.TheQuarterlyJournalofEconomics.123(3):1251-1285.
[33]RichardsE,TheobaldS,GeorgeA,etal.(2013),GoingBeyondtheSurface:GenderedIntra-HouseholdBar-gainingasaSocialDeterminantofChildHealthandNutritioninLowandMiddleIncomeCountries.SocialScience&Medicine.95:24-33.
[34]ThomasD.(1990),Intra-HouseholdResourceAllocation:AnInferentialApproach.JournalofHumanRe-sources.25(4):635-664.
