论文标题:CRISK: Measuring the climate risk exposure of the financial system
中文标题:CRISK:衡量金融体系的气候风险敞口
原文来源:Jung, H., Engle, R. F., & Berner, R. 2025. “CRISK: Measuring the Climate Risk Exposure of the Financial System.” Journal of Financial Economics 171:104076.
供稿:蒋丛蔚
封面图片来源:Pexels
编者按:气候政策转型对金融体系稳定性的影响已成为全球金融监管的核心议题。文章基于2000年至2021年全球大型银行数据,创新性地构建了气候风险压力测试框架CRISK,通过动态条件β方法量化银行在气候冲击下的资本缺口。研究发现:(1)2020年美国四大银行因气候风险暴露导致的边际资本短缺达2600亿美元,相当于其股本总额的28%,规模与2008年金融危机期间相当;(2)银行对高碳行业贷款风险的反应存在显著滞后,信用风险与市场风险双渠道传导效应突出;(3)不同政策情景下风险敞口差异显著,碳税与绿色补贴组合可有效降低40%以上的资本压力。该研究首次实现气候转型风险的跨周期、市场化测度,为系统性气候风险监管提供了关键工具。
一、引言
近年来,全球气候相关政策数量显著增加,气候政策变化引发的经济风险被称为转型风险(Transition Risk)。此类风险可能通过银行体系对实体经济产生不利影响,例如借款人还款能力受损会放大银行利润波动,导致资本不足并进一步减少信贷供给,阻碍经济增长。
尽管理解气候政策对银行体系的影响至关重要,但现有研究对气候相关金融风险的认识仍较为有限,缺乏针对性的系统性风险度量指标。文章聚焦气候转型风险,重点分析银行在压力条件下的资本充足性问题。转型风险主要由政策变化、技术革新及消费者偏好转变引发,其中政策变动是关注重点。
衡量此类风险面临三项主要挑战。首先,基于过去气候事件的分析可能无法有效捕捉风险认知的动态变化。市场预期可能在未直接经历气候事件的情况下发生变化,且当前的资产价格可以反映未来气候风险的变化,即使其影响可能在数十年后才会显现。其次,气候风险本身以及公司、银行和市场对感知风险的反应方式都会随时间而变化。第三,缺乏可靠的数据来源来系统评估气候相关风险。尽管存在自愿性的气候相关披露,但它们往往存在不完整和质量不一致的问题。这些挑战使得系统性地衡量和监管金融体系的气候风险敞口变得异常困难。为此,迫切需要一种新颖、可靠且基于市场的方法来应对这些挑战,并为监管机构和市场参与者及时提供决策依据。
为此,文章基于市场数据提出一种的创新方法,通过构建气候转型风险因子并估算银行股价对该因子的敏感性来动态捕捉风险敞口,同时从方法论上,定义CRISK指标以衡量金融机构在气候压力情景下的预期资本短缺,并引入边际CRISK以区分气候压力与一般性资本不足的影响。
实证分析采用Litterman(2021)提出的搁浅资产因子作为核心代理变量,发现银行气候β自2019年起显著上升,2020年达到峰值。基于美联储Y-14数据构建的贷款组合气候β与市场估算结果高度一致,表明贷款构成是关键驱动因素,其原因包括棕色行业风险上升、银行风控调整滞后及社会对气候问题关注度提高。研究识别出转型风险影响银行的信用风险与市场风险两大渠道,前者表现为借款人违约概率上升,后者反映为银行资产估值与损益受气候因素加剧影响。此外,通过事件分析和样本外预测,研究排除了COVID-19疫情的干扰,验证了结论的稳健性。
该研究拓展了系统性风险分析框架,使其适用于气候转型风险评估。相比现有静态和回溯性方法,文章提出的市场基准指标具有前瞻性和时变特征,且仅依赖公开数据,为风险监测和政策制定提供了新工具。同时,通过连接市场风险暴露与贷款组合构成,研究也为理解金融机构气候风险传导机制提供了微观证据。
二、CRISK框架
(一)核心概念与指标构建
为解决上述挑战,该研究提出了一种基于市场数据的创新方法。其核心在于构建气候转型风险因子,并估算银行股价对该因子的敏感性(即“气候β”,Climate Beta),从而动态捕捉风险敞口。
1. 气候风险因子(Climate Risk Factors)
研究构建了四类气候转型风险因子,每种因子都对应一种典型转型情景,并可实现日度计算。其中,搁浅资产因子(Stranded Asset Factor)由70%的煤炭ETF(KOL)和30%的能源ETF(XLE)多头头寸,以及标普500 ETF信托(SPY)的空头头寸构成,该因子是核心基准因子。排放因子(Emission Factor)以行业的碳排放总量为权重,加权平均各行业股票收益率构建而成,它能够捕捉碳税等更广泛政策的影响。棕减绿因子(Brown Minus Green Factor, BMG)用于捕捉棕色(高碳)企业与绿色(低碳)企业之间的表现差异,适用于同时实施碳税和绿色补贴的情景。气候效率因子模拟组合(Climate Efficient Portfolio Factor, CEP)则通过做空由Nard等(2024)构建的可持续基金组合形成,该组合在控制标准金融风险和搁浅资产因子后,与气候新闻的相关性最大化。
2. 气候β(Climate Beta)
在此基础上,研究采用标准因子模型对银行股票回报进行建模:

其中rit为银行i的股票回报,MKTt为市场回报,CFt表示气候风险因子。该模型纳入市场因子,以控制可能同时影响银行股票回报与气候因子的混杂因素。市场β和气候β分别衡量银行对市场风险及气候风险因子的敏感性。对于持有转型风险敞口的银行,气候β预期为正,因转型风险上升将导致贷款组合质量恶化,信用风险上升,进而冲击银行利润与股票回报。
文章采用DCB模型进行气候β的日度时变估计,该模型基于GARCH-DCC框架,允许波动性与相关性随时间变化。对于非纽约市场交易的股票,则对异步交易进行校正。结果如图1所示,使用搁浅资产因子时,美国前十大银行的气候β呈现明显动态变化特征:2000年初接近于零,全球金融危机初期微降至负值,2019年至2020年间急剧上升,该模式在其他国家银行中也普遍存在。全样本OLS回归与滚动窗口回归均证实2019年至2020年间气候β的统计显著性。
图1 美国银行的气候β
3. 相关指标构建
研究的核心是构建银行的预期资本短缺指标,包括CRISK、mCRISK、S&CRISK以及系统性风险指标。首先,基于Acharya等(2011,2012)和Brownlees与Engle(2017)提出的SRISK框架,将CRISK定义为系统性气候事件发生时的预期资本短缺:
其中,CSit为银行i在t日的资本缺口,定义为银行需持有的资本储备与当期权益价值之差:
,式中,Wit为银行i的权益市值,Dit为债务账面价值,k为审慎资本比例(设定为8%,欧洲银行因会计差异调整为5.5%),假设银行负债在压力下不变,即 E[Dit+h∣Rit+1+hCF<C]=Dit,CRISK可推导并简化为:
(2)
其中,θ是气候压力水平(如因子价值下跌50%,对应其6个月收益分布的1%分位数)。该指标在银行规模更大、杠杆率更高或气候β更高时显著上升。
此外,为单独识别气候压力的影响,研究进一步提出了边际CRISK(mCRISK),定义为气候压力下的CRISK与无气候压力(θ=0)时CRISK的差值:
(3)
因此,CRISK可分解为既有资本不足与mCRISK两部分,其中mCRISK主要用于捕捉气候风险的边际贡献,即隔离了气候冲击的边际影响,因而成为衡量纯气候风险暴露的关键指标。
关于复合风险S&CRISK,研究引入了基于市场压力值θᴹᵏᵗ和气候压力值θClimate的测算方法,该指标能够捕捉市场与气候风险同时发生时的复合效应,避免单一CRISK可能带来的风险低估。
(4)
最后,在系统层面,文章构建两类聚合指标:其一为全体金融机构mCRISK之和,用于衡量独立于资本状况的转型风险暴露:
;其二为仅对正CRISK求和得到系统总体CRISK,反映金融体系在气候压力下所需的资本注入总规模:
。该计算中忽略负值CRISK,因困境时期资本盈余难以在机构间转移。
(二)因子有效性验证
为检验所构建的气候风险因子是否有效捕捉气候转型风险,研究开展了事件研究分析。采用Barnett(2019)提出并扩展至2021年底的气候转型风险事件列表,共107个事件,包括《巴黎协定》、美国退出《巴黎协定》、政府间气候变化专门委员会(IPCC)报告发布等。每个事件被分类为"绿色事件"(推动绿色经济,shock=1)或"棕色事件"(阻碍绿色经济,shock=-1)。使用以下模型检验因子对事件的响应:
(5)
其中CFt表示气候转型风险因子,shockt为虚拟变量,发生促进绿色经济的事件(“绿色事件”)时取值为 1,发生阻碍绿色经济的事件(“棕色事件”)时取值为 -1,无事件时取0。MKTt以SPDR标普500ETF的收益率作为市场回报控制变量。
理论上,预期γ系数应为负,因为转型风险上升应导致气候因子价值下降。结果表明,如图2所示,所有因子对绿色事件均呈现负向响应。排放因子与BMG因子的γ系数统计显著,搁浅资产因子在10%水平上边缘显著,CEP因子响应则不显著,这可能是因为其已过滤了搁浅资产风险,对不对称反应敏感。这一结果证实了大多数因子能够有效捕捉政策驱动的市场预期变化。
图2 气候因子对气候变化事件的响应
三、数据与样本
研究采用多源数据集进行综合分析。市场数据方面,核心分析基于2000年至2021年间美国、英国、加拿大、日本和法国的大型全球银行的日度股价数据。选择这些银行是因为它们持有油气行业80%以上的银团贷款。数据来自Datastream,包括个股收益率、标普500指数及各类ETF(如KOL, XLE, ICLN)收益率。行业组合数据来自CRSP-Compustat合并数据库。为控制COVID-19的非气候影响,还引入OpenTable就餐指数与TSA航空旅客指数作为辅助变量。
银行层面的财务变量与贷款组合数据则通过美联储Y-14和Y-9C表格获取,用于验证气候β与贷款构成、银行特征之间的关联。Y-14提供贷款粒度信息,覆盖总资产500亿美元以上或受压力测试约束的银行,其子库Schedule H.1包含规模超100万美元的商业和工业贷款明细,被视为美国最接近信用登记系统的数据库。为控制COVID-19的非气候影响,还引入OpenTable就餐指数与TSA航空旅客指数作为辅助变量。
碳排放数据用于构建排放因子,来自Bloomberg,包含Scope 1(直接排放)和Scope 2(间接排放)排放量。同时使用排放强度以及S&P Global Trucost的数据进行稳健性检验。
四、实证分析
(一)CRISK&mCRISK
利用估算出的气候β,为估算气候压力对预期资本短缺的边际影响,研究计算了各银行的CRISK和mCRISK。就边际CRISK而言,图3展示了美国前十大银行在搁浅资产因子情景下的mCRISK。该指标在2020年之前已开始显著扩大。截至2020年底,美国前四大银行(如银行F、A、C、J)的mCRISK均达到450亿至900亿美元,其合计约2600亿美元,相当于其股本总额的28%。这表明2020年气候压力已产生实质性的经济影响。相比之下,其他国家的银行mCRISK绝对水平及增幅均远低于美国。
图3 美国银行的mCRISK
关于总资本缺口,图4展示了总CRISK。CRISK为负值代表银行持有资本盈余。2019年及以前银行CRISK处于负值或较低水平,主要因当时气候β普遍较低。2020年,CRISK大幅上升。美国前四大银行的CRISK在2020年增加了4250亿美元。作为对比,它们在2007-2008年全球金融危机期间的SRISK(市场压力下的资本缺口)增幅为4600亿美元,表明气候压力下的资本需求规模可与重大金融危机相比。
图4 美国银行的CRISK
(二)CRISK分解
为理解2020年CRISK大幅增加的驱动因素,研究将其分解为三个部分:
(6)
具体而言,这三部分别为债务变动对CRISK的贡献、权益市值变动对CRISK的贡献,(市值下跌导致CRISK上升)以及气候β上升即LRMES增加对CRISK的贡献。
如表1所示,对于前四大银行,权益恶化和气候β风险分别贡献了约40%的CRISK增长。从所有银行的平均水平来看,权益恶化和气候β风险分别贡献了32%和47%的变化,表明气候风险对CRISK变化的整体影响略高于权益因素。英国银行的分解结果呈现出相似特征。相比之下,加拿大、法国和日本银行的CRISK增幅较小,其中债务恶化成为主要贡献因素,气候β风险仅解释了约三分之一的CRISK增长。这一差异反映这些地区银行对气候风险的暴露相对较低,或债务压力更突出。
表1 CRISK分解 (美国银行)
(三)系统性风险与行业分布
文章还聚合了银行、经纪商和保险公司等大型金融机构的mCRISK与CRISK,以评估系统层面的气候风险。分析样本限定为2019年12月31日各国市值处于前75%的金融公司,以确保聚焦于大型机构。如图5展示了分国家汇总mCRKIS,该指标剥离了同期资本不足的影响,可解释为金融体系对气候转型风险的净敞口。2020年美国的系统总mCRISK超过5000亿美元,显著高于其他国家。而图6以堆叠形式呈现了各国汇总CRISK,可理解为气候压力下金融部门所需资本注入的总规模——2020年11月全部样本公司的CRISK接近2万亿美元,凸显了气候压力对全球金融体系资本水平的潜在需求。
图5 各国mCRISK汇总
图6 按国家堆叠的CRISK汇总
从行业类型来看,图7中展示了不同金融子行业在2019年至2020年间mCRISK的演变。所有行业组的气候风险敞口普遍上升,其中银行业mCRISK峰值超过4000亿美元,经纪交易商与保险公司各约为800亿美元。而图8进一步以堆叠形式呈现了美国金融业按行业分类的CRISK,2020年该值接近5000亿美元,到2021年12月31日降至1500亿美元以下。作为参照,美国金融部门SRISK在2008年全球金融危机期间达到约9400亿美元的峰值。
图7 美国金融业的mCRISK汇总(按行业组)
图8 按金融行业堆叠的美国CRISK汇总
研究还通过计算与CRISK集中程度相关的赫芬达尔指数,衡量系统中气候转型风险暴露的集中程度。CRISK%定义为:

结果显示,2009年1月至2021年12月期间,该指数多数时间保持在0.1以上,表明气候转型风险在压力时期高度集中于少数头部金融公司。
(四)气候β验证
为深入分析气候β与贷款组合的关联,文章基于2012年第二季度至2021年第四季度美国19家上市银行的Y-14贷款数据及Y-9C合并财务报表展开研究。分析主要使用承诺金额(涵盖已使用和未使用信贷),稳健性检验则采用已使用金额,并控制银行层面财务变量。该部分重点考察三个问题:高碳贷款敞口是否推高银行气候β;借款人气候β是否提高贷款违约概率;银行如何通过调整贷款价格和数量应对气候β上升。
为验证市场估算的气候β是否真实反映了银行的实质风险敞口,研究利用Y-14的微观贷款数据构建了"贷款组合气候β"(Loan Portfolio Climate Beta)。其计算公式为:
(7)
其中,权重 wj表示银行对特定行业 j的贷款占比。行业气候βjClimate则基于美国所有上市公司气候β价值加权平均计算得出。
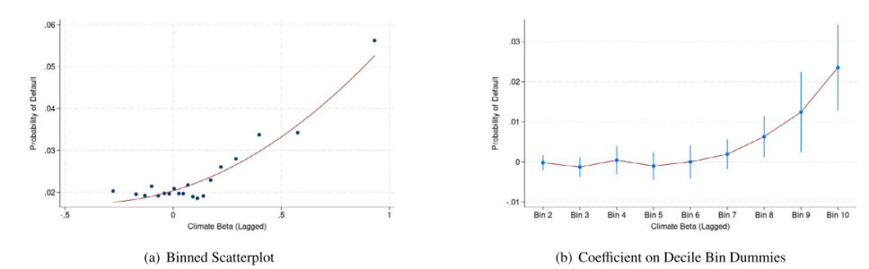
图9 银行气候β与贷款组合气候β关系的分箱散点图
与假设一致,如上图9所示,在控制时间和银行固定效应后,市场化气候β与贷款组合气候β高度一致。这一假设通过以下OLS回归模型正式检验:
(8)
回归分析结果如表2所示,进一步证实了这一强正相关关系。尽管气候β为日度估计值,但贷款组合气候β基于季度Y-14数据计算,因此将日度气候β聚合为季度指标,具体定义为银行 i在季度 t最后一个月的日度气候β时间平均值。回归中控制的银行变量包括:总资产对数、杠杆率、资产回报率(ROA)、存贷比、账面市值比、贷款损失准备/贷款、非利息收入/净利润以及市场β。数据显示,在所有设定中,贷款组合气候β的系数 b均显著为正,且这一结果在加入银行固定效应、年度固定效应及银行层面聚类标准误后仍然成立。
表2 银行气候β和贷款组合气候β
该显著关系在以下情况下保持稳健:使用去杠杆化企业气候β(表3.1)、基于已使用敞口计算贷款份额(表3.2)以及使用企业层面气候β(表3.3)时。为进一步排除2012年或COVID时期高气候β导致的估计偏差,研究检验了贷款组合气候β与时期虚拟变量的交互项,结果显示交互项系数均不显著(表3.4),表明该关系在不同时期保持一致。
表3.1-表3.4 贷款组合气候β: 稳健性检验



为验证上述一致性并非仅由气候β普遍上升所驱动,开展了安慰剂检验。通过随机打乱贷款组合权重 ωj以构造反事实投资组合,例如使贷款规模最大的行业对应最低气候β,发现系数不再显著。这表明贷款组合权重本身具有信息含量,一致性并非仅源于2020年各行业气候转型风险的共同上升。
该分析框架还可扩展至非上市银行的气候β估算。虽然无法直接获取其市场数据,但若贷款β与银行β的关系在上市与非上市银行中一致,可结合资产负债表信息与贷款组合数据近似推算其风险暴露。需要指出,Y-14数据仅覆盖受压力测试约束的大型银行,结论可能无法直接推广至小型银行。后者贷款组合透明度较低但行业集中度可能更高,其与气候β的关联强度或有所不同,但受数据可得性限制,该问题留待后续研究。
五、机制分析
2020年前气候β已呈现显著上升趋势,经济变量可解释其变化的43%,而图10验证回归预测值准确捕捉到这一趋势,缓解了“COVID是唯一驱动因素”的担忧。接下来重点分析2019年气候β上升的关键驱动因素。
图10 拟合气候β与实际气候β
首先,气候β最高的行业与高碳行业高度重合。按平均或2019年气候β排名的前五大NAICS行业均属高排放领域,如图11所示,这些行业气候β于2019年急剧上升,与银行气候β上升时间点吻合,印证了随着高碳借款人气候β上升,导致银行贷款组合风险增加的结论。
图11 前5大NAICS行业的气候β值
其次,借款人气候β上升显著推高贷款风险。利用银行压力测试报告的违约概率(PD)数据,发现贷款PD随滞后气候β上升(图12(a)),且分位数回归显示,气候β分位数越高,PD对气候β的敏感性越强(图12(b))。这表明气候β能有效预测高碳贷款风险,且当气候β较高时,这种影响更为显著。因此,借款人转型风险冲击会通过利润传导影响银行股票回报的气候敏感性。
图12 贷款违约概率与滞后气候β的关系
证实银行气候β与棕色借款人面临的气候转型风险及高碳贷款风险存在关联后,进一步探讨银行是否会以及如何应对高碳贷款风险的上升。一个自然的假设是,银行会通过提高贷款利率或减少贷款规模来应对气候β和PD的上升。为验证这一假设,我们设定以下模型:
(9)
模型中,结果变量 Yibt为贷款 b、银行 i、季度 t层面的利率利差或承诺贷款规模;处理变量 Browni在借款人行业属于气候β前五的NAICS行业时取1,否则取0;αb为银行固定效应,γt为时间固定效应。图13展示了利率利差与承诺贷款规模的时间序列。
图13 棕色贷款价格与数量调整
研究发现,尽管银行气候β自2019年第一季度起已出现上升,但其对贷款价格和规模的调整直至2020年第一季度才开始;在2019年第一季度至2020年第一季度期间,贷款利率利差与贷款规模均未发生显著变化。这一结果表明,银行对借款人气候β上升的响应存在明显滞后,很可能源于贷款市场中存在的各类摩擦。虽然文章未对这些摩擦的影响机制进行正式检验,但在棕色贷款气候β上升后,专注于该类贷款的银行对利率利差和贷款规模的调整均相对缓慢,其原因可能在于这些银行寻求非专长行业贷款机会的成本较高。此类摩擦延缓了对高风险棕色贷款的价格和数量调整,从而加剧了银行对气候转型风险的整体暴露。
除借款人气候β外,自2019年起银行气候β的上升也可能与市场对气候变化的关注度提升有关。如图14所示,2019年气候法规数量大幅增加,同时由Gavriilidis(2021)构建的气候政策不确定性指数和Sautner等(2023)计算的企业平均气候暴露度均呈上升趋势,三者与式(8)中时间固定效应系数的相关性分别高达0.89、0.86和0.76。尽管无法确立严格的因果关系,但这些因素很可能共同推动了2019年起银行气候β的显著上升。
图14 气候指数
这些发现共同揭示出转型风险影响银行资本化的两条核心渠道:信用风险渠道与市场风险渠道。信用风险渠道表现为,借款人转型风险冲击可在短期内削弱其还款能力,其证据为高碳借款人的违约概率随气候风险暴露上升而提高。此类风险对银行的影响可能超越单笔贷款的期限,原因包括银企借贷关系通常具有持续性(如Beck等,2018),以及银行贷款往往高度集中于特定行业(Blickle等,2021),导致其转向其他行业放贷的成本较高。这也解释了银行为何对高气候风险暴露借款人的贷款调整存在延迟。
即使此类贷款在银行总资产中占比不高,仍需注意其风险的非线性特征,随着借款人气候暴露上升,银行信用风险可能加速积累,所带来的负面影响可能持续至贷款到期之后。因此,该类贷款不仅会放大银行当期及预期利润的波动,也会进一步影响其股权估值。最终,银行股票收益对气候转型风险的敏感度与借款人风险暴露实现同步变动,即市场风险渠道。
六、研究结论
本研究通过创新的CRISK框架,得出了若干重要发现。首先,风险规模巨大。2020年,气候转型风险对美国四大银行造成的边际资本短缺(mCRISK)高达2600亿美元,占其股本的28%,其总气候风险资本缺口(CRISK)的增幅(4250亿美元)与2008年金融危机期间的系统性风险增幅相当。其次,风险具有系统性。整个美国金融体系的气候风险暴露在2020年超过5000亿美元,且高度集中于少数大型金融机构。第三,基于市场数据估算的银行气候β与其贷款组合的实质性气候风险暴露高度一致,证明市场已开始对气候转型风险进行定价。第四,风险通过信用风险和市场风险渠道传导,关键是银行对高风险棕色贷款的调整存在显著滞后,这加剧了其风险暴露。第五,风险敞口对政策设计高度敏感,单一的碳税政策导致较高的mCRISK,而"碳税+绿色补贴"的组合政策能有效降低银行体系的资本压力。
本研究首次提出了一个基于市场数据的、动态的、前瞻性的气候转型风险测度框架——CRISK,克服传统方法面临的数据缺失和回溯性局限,仅利用公开数据即可实现近乎实时的风险监测。研究结论具有重要的理论与现实意义,对学术界而言,将系统性风险分析框架成功拓展至气候风险领域,并通过微观数据揭示了气候风险在金融体系中的传导机制。对监管机构而言,CRISK提供了一个强大的工具,可用于识别系统重要性气候风险、对金融机构进行气候压力测试、评估不同气候政策的宏观金融影响,从而制定更审慎的监管政策。对金融机构而言,银行需重视其贷款组合的气候风险,并建立更敏捷的风险管理流程,以应对可能加速的转型进程;投资者则可利用气候β和CRISK来评估投资组合的风险暴露。
未来研究可关注三个方向。首先,当前研究聚焦转型风险,未来可尝试构建反映极端天气损害的系统性物理风险因子,并将其纳入评估框架。其次是风险间的交互作用,需要建模研究市场压力与气候压力之间的相关性和分布特征,以更准确地评估复合风险。此外,可将CRISK框架应用于更广泛的非银行金融机构、非金融企业乃至主权国家的主权风险评估。这些拓展有望深化对气候相关金融风险的理解。
ABSTRACT:
We develop a market-based methodology to assess banks’ resilience to climate-related risks and study the climate-related risk exposure of large global banks. We introduce a new measure, CRISK, which is the expected capital shortfall of a bank in a climate stress scenario. To estimate CRISK, we construct climate risk factors and dynamically measure banks’ stock return sensitivity (that is, climate beta) to the climate risk factor. We validate the climate risk factor empirically and the climate beta estimates by using granular data on large US banks’ loan portfolios. The measure is useful in quantifying banks’ climate-related risk exposure through the market risk and the credit risk channels.
原文地址:https://doi.org/10.1016/J.JFINECO.2025.104076