论文标题:The real and financial effects of internal liquidity: Evidence from the Tax Cuts and Jobs Act
中文标题:内部流动性对实际与财务行为的影响:来自《减税与就业法案》的证据
原文来源:Albertus J F, Glover B, Levine O. The real and financial effects of internal liquidity: evidence from the tax cuts and jobs act[J]. Journal of Financial Economics, 2025, 166: 104006.
供稿:李卓诚
封面图片来源:Pexels
编者按:文章研究了《减税与就业法案》释放的1.7万亿美元海外现金对美国跨国企业真实经济活动与金融决策的影响。研究发现:无论财务约束或治理水平如何,企业均未将新增流动性用于资本支出、就业或研发;仅30%的流动性通过股票回购分配给股东,剩余50%以现金形式留存,且杠杆率未显著调整。这一发现挑战了传统预防性储蓄理论,揭示了税收改革在刺激投资与优化现金政策上的局限性,为全球税制与企业流动性管理的研究提供了新证据。
封面语:美国税改释放了高达1.7万亿美元的跨国企业海外现金,根据传统预期企业将加大投资或扩大业务。然而,研究发现尽管企业获得了更多流动性,其并未显著增加资本支出、就业或研发,反而保留了大量现金,这一现象在治理结构良好且财务稳健的企业中尤为突出。
一、引言
2018年生效的《减税与就业法案》(Tax Cuts and Jobs Act, TCJA)彻底改革了美国跨国企业的海外利润征税规则。改革前,美国实行全球征税制,企业需为海外利润支付高达35%的汇回税(Foley等,2007)。为规避高昂税负,跨国企业长期将利润滞留海外子公司,形成“被困现金”(Trapped Cash)。截至2017年,美国跨国企业海外现金存量达1.7万亿美元(BEA,2020),相当于美国GDP的8.3%。TCJA通过两项关键改革释放流动性:(1)取消汇回税,允许企业免税调回海外现金;(2)过渡税机制,对历史留存利润一次性征收15.5%的税款(远低于原税率)。总体而言,该法案通过提供对1.7万亿美元海外现金的访问权限,增加了美国企业的流动性。政策支持者宣称此举将刺激企业增加本土投资、创造就业(Forbes等,2017)。例如,苹果CEO库克曾公开批评旧税制阻碍资金回流,并期待TCJA能“吸引数万亿美元回国用于投资”(CNBC,2017)。然而,企业实际响应与政策预期存在显著落差,文章发现流动性释放并未转化为真实经济活动,反而凸显现金政策的“粘性”特征。
现有文献虽已揭示税收激励对企业现金持有的驱动作用(Foley等,2007;Graham&Leary,2018),但关于流动性冲击如何影响企业真实经济活动与金融决策仍存在显著理论空白。早期研究受制于方法缺陷,例如针对2005年《美国就业创造法案》(AJCA)的分析多基于企业自愿性汇回行为,导致样本自选择偏差(Dharmapala等,2011)。Faulkender和Petersen(2012)发现参与AJCA税改的企业本身具有更强的派息倾向,其结论可能高估税改对投资的刺激效应。此外,既有研究常以会计指标(如永久性再投资利润)代理海外现金规模,但该指标混杂实物投资且易受管理层操纵(Laplante&Nesbitt,2017),而权威子公司级现金数据的缺失使得研究难以区分流动性释放的直接效应与跨国运营需求。在理论层面,传统预防性储蓄理论主张无财务约束企业应全额分配超额流动性(Riddick&Whited,2009),却无法解释TCJA后企业保留半数现金的行为;代理成本理论虽预测治理薄弱企业会过度囤积现金(Harford等,2017),但文章发现治理优良企业同样表现出高现金留存,暗示传统理论框架需系统性修正。本研究从三个方面填补上述缺口:(1)采用BEA非公开子公司级数据直接量化流动性冲击,规避财务指标噪音;(2)基于TCJA的准自然实验设计,利用双重差分法消除内生性偏误;(3)提出“松散现金目标”假说,揭示当边际现金持有成本与收益趋近均衡时,企业可能对流动性冲击表现出惰性调整,这为理解现金政策的粘性特征提供了新视角。
本研究围绕TCJA释放的流动性冲击,系统探讨两大核心问题:(1)政策释放的海外现金是否转化为企业真实经济活动(如资本支出、就业增长与研发投入);(2)企业如何调整财务行为(如现金持有、股东分红与杠杆率)现金持有与股东分配政策。既有研究表明,税收成本是驱动企业囤积海外现金的核心因素(Foley等,2007),但关于流动性释放的经济效应仍存在显著争议:政策支持者声称解锁“被困现金”将刺激本土投资与就业(Forbes等,2017),而基于自愿性税改(如2005年AJCA)的研究却显示企业偏好派息而非投资(Dharmapala等,2011)。然而,这类结论受限于样本自选择偏差与代理变量误差(Laplante&Nesbitt,2017),且未能解释为何无财务约束企业仍高比例留存现金(Graham&Leary,2018)。文章通过TCJA这一外生政策冲击,结合BEA机密子公司数据,首次直接量化流动性冲击对跨国企业行为的因果效应,并检验预防性储蓄理论、代理成本理论在解释企业现金政策粘性中的局限性,进而提出“松散现金目标”假说,为理解后TCJA时代企业流动性管理策略提供新视角。
文章的研究贡献体现在以下几个方面:(1)理论方面,文章填补了现有文献在税改流动性冲击对企业行为的影响方面的空白,揭示了流动性冲击与投资行为的弱关联性。尽管TCJA解锁了高达1.7万亿美元的海外现金,企业既未显著增加资本支出、研发投入或并购活动,也未因财务约束或治理水平差异呈现异质性响应。这一发现挑战了传统财务约束理论的核心假设,支持了现金持有的“松散目标调整”假说(Graham and Leary, 2018),即企业仅将30%的新增流动性用于股东分配(以股票回购为主),并保留近半数现金,表明税改后现金的边际成本与收益趋于均衡;(2)方法论上,研究创新性地整合美国经济分析局(BEA)的机密子公司数据与双重差分设计,构建了基于海外现金存量的精准政策暴露指标,克服了既有文献依赖会计科目(如永久再投资收益)的测量偏误问题;(3)政策层面,研究实证检验了TCJA在刺激本土投资上的有限成效,质疑了“税收锁住效应抑制投资”的政策逻辑,同时揭示了企业通过股票回购而非债务调整的财务策略,呼应了股息税改革的分配效应机制(Chetty and Saez, 2005)。此外,研究通过对比2005年自愿性税改(AJCA)与TCJA的强制政策差异,阐明了制度强制性对企业现金使用路径的塑造作用,为国际税收协调提供了微观证据。这些成果不仅拓展了企业流动性管理的理论边界,也为后危机时代跨国税改的经济后果评估确立了新的分析框架。
二、数据和样本
首先,基于美国经济分析局(BEA)机密调查数据,覆盖《美国跨国企业活动年度与基准调查》(Activities of U.S. Multinational Enterprises),该调查依据《国际投资与贸易服务调查法》(International Investment and Trade in Services Survey Act)强制实施,法律禁止将个体公司数据用于税收或监管用途,违规行为可面临最高一年监禁,确保数据保密性与企业填报真实性。数据包含美国跨国企业国内与海外子公司的完整资产负债表与利润表,例如:海外现金与金融资产(Foreign Cash):直接观测子公司持有的现金及有价证券。汇回资金(Repatriations):子公司向美国母公司支付的分红、利息等资金流。分区域经济活动:国内外资本支出(Capex)、研发(R&D)、员工薪酬(Employment Compensation)等。其次,从Compustat数据库获取企业合并财务报表,包括杠杆率(总负债/总资产)、市值账面比(Market-to-Book)、盈利指标(ROA)等,从SDC Platinum提取现金并购交易数据(按目标公司地域分类为美国与海外并购),从FactSet获取机构投资者持股比例,构建公司治理代理变量(前五大机构持股比例)。
研究样本限定为2010-2019年间多数控股(>50%股权)的海外子公司,排除合资企业与少数股权关联公司,并剔除金融、公用事业及公共管理行业企业,同时要求企业至少拥有一个子公司位于2018年前税率低于美国的国家,所有财务变量均经过1%的缩尾处理,最终构建了包含3146个企业-年度观测值的基准样本(对应489家企业)。
表1为样本企业的描述性统计,合并运营数据(Panel A)显示,样本企业合并现金占总资产比率的均值为15.1%(标准差14.2%),表明企业整体现金储备较高;国内外法定税率差异(TaxGap)均值为10.5个百分点,反映企业海外利润主要集中于低税辖区。国内运营数据(Panel B)显示,企业国内资本支出(U.S. Investment)与总资产比率均值为2.6%(标准差2.8%),而国内员工薪酬(U.S. Employment)比率达13.2%(标准差9.9%),表明国内劳动力成本显著高于资本投入。海外运营数据(Panel C)中,海外资本支出(Foreign Investment)和员工薪酬(Foreign Employment)比率分别为1.2%和5.4%,显著低于国内水平,而海外现金占总现金比例约三分之一(均值5.0% vs. 合并现金比率15.1%);海外子公司年均汇回资金(Repatriations)仅占合并资产的0.7%(标准差2.5%),凸显税改前跨国企业普遍规避资金回流。
表1 描述性统计

三、实证设计
文章研究了TCJA对企业流动性冲击后在真实经济变量与财务变量上的反应。TCJA实施后,企业突然可以获得额外的内部资本,且边际成本为零,而这些资金此前在用于美国境内投资或分红时成本极高。TCJA出台迅速,在短时间内即通过并实施。该法案最早的草案于2017年11月2日提交至美国众议院,最终于同年12月22日签署成为法律,并在不到两个月后,即2018年1月1日正式生效。文章采用双重差分法利用模型(1)进行估计:

因变量(Yi,t)包括企业投资(资本支出/总资产)、就业(薪酬/总资产)、现金持有(现金/总资产)、股票回购等。核心解释变量(TCJAt×ForeignCashi):捕捉政策实施后高海外现金企业的差异化响应,其中,ForeignCashi为企业i在2017年的海外现金/总资产比率,衡量政策暴露强度(章使用的指标确保测量的是现金和金融资产,而非不具流动性的实物投资,从而更准确地捕捉企业的真实流动性状况),TCJAt为政策虚拟变量(2018年及以后=1,其他年份=0)。控制变量(Xi,t−1)包括:企业年龄(Age)、市值账面比(Market−to−book)、盈利能力(Profitability)以及税率差异(TCJA×TaxGapi ),同时文章控制了公司固定效应以及年份-行业固定效应。

文章利用模型(2)来估计处理效应的动态变化,T包含除2017年(基期)以外的年份。
四、实证结果
文章进行了两个主检验:第一部分,文章估计了TCJA所带来的内部流动性增加对企业实际经济活动的影响;第二,文章分析了企业在海外现金解锁后其财务行为的变化。
在进行主要实证检验之前,文章首先探讨所使用的处理变量(企业的海外现金比率)是否能预测子公司向母公司的利润汇回。在 TCJA 实施后,海外与国内现金的区别被消除,意味着企业可以在没有税收后果的情况下,将其外国子公司的资金作为股利汇回美国母公司(即利润汇回)。如果企业之前是由于利润汇回税所造成的“税收锁定效应”而将现金滞留在海外子公司,那么文章有理由预期,部分海外现金将在 TCJA 实施后重新配置给美国母公司。
表2展示了使用方程(1)进行的基准回归结果,以子公司向母公司的利润汇回作为因变量。第(1)列显示,在税改实施后两年内,每1美元的海外现金平均有13美分被汇回,意味着大约有四分之一的海外现金被回流。第(2)列报告了使用方程(2)逐年估计的结果,表明 TCJA 实施后每年都存在大量的现金汇回。改革后利润汇回的增加,在图1中所展示的无条件利润汇回金额中也清晰可见。接下来,文章将进一步分析这些被释放的海外现金对企业实际与财务决策所产生的影响。

表2 利润汇回情况

图1 利润汇回额
(一)TCJA与企业经济活动
移除对海外现金的税收封锁是否刺激了美国跨国公司的投资和就业?文章通过估计模型(1)估计流动性增加对企业实际活动的影响,包括资本支出、雇佣、研发以及并购等。
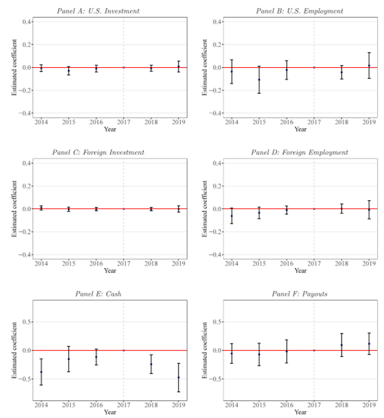
表3报告了美国国内投资和就业的结果。第(1)列和第(3)列报告了改革后两年期间的平均处理效应的结果,文章未发现企业对增加的海外现金的可用性作出显著反应。与一些TCJA支持者的期望相反,这些结果表明改革可能没有对文章样本中企业的实际决策产生实际影响。表明企业在财务上并未受到重大约束,因此流动性的增加并未显著降低资本成本。动态处理效应检验结果在表3的第(2)列和第(4)列以及图2的A面板和B面板中绘制。发现尽管2015年美国就业的差异在10%显著水平上,但似乎没有显著的前期趋势,说明改革前几年美国的实际活动与改革前的海外现金持有量并没有显著关系。
总体上看,TCJAt×ForeignCashi在所有情况下的系数估计都很小且不显著。这表明,外国收入税收处理的变化并未显著地异质化影响企业投资。

表3 TCJA对企业国内经济活动的影响

图 2 动态估计结果
表4报告了TCJA对国外投资和就业的结果。Albertus等(2022)发现,在TCJA之前,全球税制可能导致增加了外国投资,这一预测得到了Samuel(2022)支持,后者发现TCJA后外国投资出现下降,但这种改革后的下降与海外现金的积累量无关。与此一致,且与文章对美国实际活动的结果相符,表4显示,外国实际活动对海外现金数量没有显著反应。每年的系数以及95%置信区间在图2的C面板和D面板中绘制。
表4 TCJA对企业国外经济活动的影响

稳健性检验部分,文章通过删除模型(1)控制变量以及使用研发(R&D)作为替代的实际经济活动度量重新估计。表5显示在所有情况下,结果与文章的基准估计的发现基本一致。
表5 TCJA对企业经济活动影响的稳健性检验

1.财务约束、代理冲突与利润转移
文章发现,企业没有因为流动性增加而提高资本支出、就业或研发。然而,基本的财务理论预测,如果企业面临财务约束,增加的内部资本会降低资本成本,从而促进投资(Stein,1997;Giroud & Mueller,2015)。相反,未受约束的企业不会增加投资。因此接下来,文章检验投资反应是否取决于财务约束,具体参照 Hadlock 和 Pierce(2010)基于企业规模和年龄对企业财务约束度量。文章将模型(1)的基准回归扩展为包含与财务约束交互项的模型(3),具体为:

其中,HP 是 Hadlock 和 Pierce(2010)的财务约束度量。若β0为正,则表明财务约束较大的企业在外国现金解锁后会相对无约束企业增加投资。表 6 显示了模型(3)估计的结果。对于所有结果变量,无论是在美国还是海外,交互项的估计系数都不显著。总体而言,文章没有找到财务约束是投资响应 TCJA 流动性冲击的显著预测因素的证据。这些结果进一步支持了文章先前的结论,即美国跨国公司并没有显著受财务约束。
表6 财务约束与企业经济活动

除了财务约束外,经理与股东之间的激励不一致可能导致企业即使没有财务约束,仍然对流动性激增作出反应。文章通过在模型(3)中使用公司治理强度的代理变量来检验这一可能性。文章使用 Ferreira 和 Matos(2008)定义的前五大机构投资者的股权比例作为公司治理的代理变量。表 7 的结果显示,交互项不显著,表明代理冲突不是流动性增加对实际活动影响的主要驱动因素。对于外国投资交互项系数虽然在10% 水平上显著,但经济显著性较小。
表7 代理冲突与企业经济活动
接下来,文章考虑利润的归属地可能是由公司部分选择的这一可能性。特别是,公司可能利用税收策略将利润转移到低税率的司法管辖区(Hines & Rice,1994)。外汇现金的积累可能是由于积极的利润转移,也可能仅仅是有机海外业务的结果。文章预计后一类公司(没有主动将利润转移到海外的公司)会对外汇现金的解锁做出更强烈的反应。文章将模型(1)的基准回归扩展为包含与资产无形比率交互项的模型(4):

文章通过使用资产无形比率来作为公司选择利润归属地能力的代理变量(例如,Grubert,2003;Albertus等,2019)。资产无形比率通过Peters和Taylor(2017)构建的行业中位数无形资本与资产的比率来衡量,数据来自TCJA改革前一年。文章预计,如果对外汇现金解锁的反应更强烈的公司具有更高的有机海外利润(即较少的自愿利润转移),则β1会为负。
表8报告了四个结果变量的回归结果:美国投资、美国就业、美国研发(R&D)和外国研发(R&D)。除了三个美国实际投资变量外,文章还包括外国研发,因为利润转移与无形资产的归属地相关。对于所有四个结果变量,β1的估计值与零没有显著差异。这表明,投资反应与利润转移的程度没有显著关系。

表8 利润转移与企业经济活动
总体而言,文章没有发现TCJA所提供的内部资本增加导致实际经济活动的增加。此外,基于财务约束、公司治理或利润转移的差异化效应也不存在。综合来看,文章的结果表明,文章的样本公司在财务上相对不受约束,并且公司治理水平良好。
2.TCJA与企业并购
文章考在该部分检验TCJA对并购的影响。与其他实际结果类似,增加流动性可能会导致并购活动增加,这可能包括资本成本的降低,以及加剧的代理冲突,如帝国建设或自由现金流问题(Jensen, 1986; Harford, 1999)。相关研究表明,Hanlon等(2015)发现,被困的外国现金导致使用现金进行的外国并购增加,并且这些并购的公告回报较低。
文章通过将并购的美元金额(按滞后资产规模调整)作为因变量,估计基准方程式(1)来检验增加现金流动性是否导致并购活动的增加。结果见表9,文章发现增加流动性对公司并购活动没有影响。这对于美国并购(最可能受到改革影响的领域)和外国并购都是如此。这些结果与其他研究相反,后者表明并购和公告回报与外国现金呈正相关(见Atwood等,2020年;Amberger&Robinson,2022年)。与现有研究不同,本研究使用了美国经济分析局(BEA)直接观察到的外国现金数据,这可能是得出不同的结论的原因。
表9 TCJA对企业并购的影响

除了资本成本降低外,代理冲突(如帝国建设动机)可能促使管理者增加并购活动。文章通过与公司治理强度的衡量标准(即前五大机构投资者的股权所有比例)进行交互作用,考虑代理冲突的作用。结果见表10。对于美国和外国并购活动,文章发现没有证据表明,面临较少机构监督的管理者通过增加并购活动来回应流动性冲击。
表10 代理冲突与企业并购

(二)TCJA与企业财务行为
在上一节中,文章发现企业在TCJA带来流动性增加之后,并未调整其实体经济活动。本节中,文章将关注企业的财务行为:面对内部流动性冲击,企业如何调整其财务状况,包括现金持有、股东分红与杠杆率。
为研究企业如何应对其海外现金被解冻的情况,文章对多个财务结果变量估计了方程(1)和(2)。对现金持有影响的检验结果见表11第(1)和第(2)列。表11第(2)列展示了以2017年海外现金(ForeignCash)为自变量的合并现金持有的动态变化。可以看出拥有更多2017年海外现金的公司,在2017年之前的合并现金持有增长更快。改革实施后,这些高海外现金的公司,其合并现金持有量下降得更快。TCJA释放的每1美元海外现金,两年后企业将其合并现金持有减少了48美分。因此,企业按TCJA带来的流动性冲击比例下调了其现金持有,这表明至少部分海外现金持有是出于税收目的,进一步支持了企业现金持有上升趋势与全球税制之间存在关联的观点。第(2)列的动态估计结果表明,那些积累海外现金的企业在改革后也确实减少了合并现金持有(参见图2的E面板)。第(1)列给出了2010–2017年与2018–2019年之间合并现金持有的点估计结果。与动态估计结果一致,点估计不显著但为负,说明改革后合并现金下降反映的是改革前海外现金积累的“回撤”。
对股东分红影响的检验表11的第(3)至(8)列,分别展示了关于分红、股票回购以及二者总和(即总分红)的点估计与动态估计结果。结果显示,股票回购在获得海外现金后显著增加,而分红则没有变化。这一发现与现有文献一致,即股票回购更倾向于用于应对临时性变化,而分红用于应对长期性变动(Jagannathan等,2000;Guay&Harford,2000)。不过,回购反应的幅度相对较小,每释放1美元海外现金,在两年内每年仅增加15美分的回购。尽管回购幅度不大,但其仍可解释合并现金持有下降的一部分。
表11 TCJA对企业财务行为的影响

稳健性检验中,文章重新估计了合并现金持有、回购和总分红的动态效应,剔除了所有控制变量。同时文章还将企业的有效税率作为额外控制变量纳入模型中,在这两种设定下,结果都非常相似(结果未列出)。
文章关于分红的发现与股息税的研究密切相关。TCJA降低了企业动用海外现金的税收成本,特别是对那些计划将资金分配给股东的企业,这一政策变化与2003年《就业与增长税收减免协调法案》中的股息税率下调类似。研究发现,类似于Chetty和Saez(2005)以及Yagan(2015)的研究,股息税削减导致了企业分红的增加。此外,Yagan(2015)也发现股息税削减对企业投资和员工薪酬无显著影响,与此一致的是,文章发现降低海外现金汇回税负对企业的投资和雇佣决策没有影响,这强化了股息税对分红政策的影响,而对实体经营活动影响甚微。最后,文章还考察了TCJA释放的海外现金是否用于偿还债务尽管在改革前企业可能利用海外现金支持借款并绕过汇回税,但改革后账面杠杆率未显著变化(表11的第(9)和(10)列),企业并未利用释放的海外现金来调整其债务状况。
文章接下来考虑三个可能影响企业财务行为的因素。第一:文章考虑海外现金是否出于运营需要而非纯粹的避税目的而被持有。为此,文章将TCJA带来的流动性冲击度量为超过支持海外运营所需的海外现金部分。文章采用四个步骤来衡量“超额海外现金”(ExForCash):以2017年仅在美国经营的Compustat企业(非跨国公司)为样本,计算其现金与净固定资产之比;在2位数NAICS行业分类中,计算该比例的中位数,并将其匹配至每一个外国子公司,乘以子公司的净固定资产,得出其“预测现金值”;将子公司的实际现金减去预测现金值,如果差值为负则记为零;将所有子公司的超额现金值相加,并按公司合并资产进行标准化。然后,文章使用企业2017年的超额海外现金水平替代总海外现金,重新估计方程(2)以观察合并现金持有、回购和分红的反应,结果见表12。对于所有三个财务结果变量,使用超额海外现金的估计系数与基准结果非常相似。这表明,分红和现金持有反应不明显,并非由于企业需要将释放出的现金保留在海外子公司以支持日常运营。
表12 超额海外现金与财务行为

第二,管理者可能从企业的现金持有中获得私人利益,因此保留了超出股东最优水平的现金。确实,Harford等(2017)发现企业的海外现金持有会被股东打折估值,Kim等(2023)则发现当韩国企业被政策施压分红时,股东反应积极。为了检验是否存在代理冲突导致的高现金保留,文章重新估计财务反应时加入了企业治理水平的交互项。文章使用企业前五大机构投资者的持股比例作为治理水平强弱的代理变量。表13给出了估计结果。在所有情形下,机构投资者的存在并未对现金持有行为产生差异性影响,未能发现保留现金是由代理冲突导致的证据。
表13 代理冲突与财务行为

第三,文章考察企业是否只是需要更长的时间(超过两年)来调整其财务行为。为此,文章将后期观察期延长至2021年(共四年)。由于财务反应数据来自Compustat合并报表,因此这一扩展是可行的。不过,样本扩展至2020年后将包含COVID-19疫情,这一突发事件引发了企业的“抢现金”行为(Acharya&Steffen,2020),可能显著干扰企业的正常财务调整行为。因此,若将此扩展样本作为长期结果来解读,必须保持谨慎。但文章也没有明确理由认为疫情的影响与企业2017年海外现金水平相关。表14展示了扩展至2021年的估计结果。文章看到,合并现金持有(第1列)在2020年和2021年几乎没有变化。股票回购与分红(第2列和第3列)亦如此。甚至在2020和2021年出现了轻微的逆转趋势,表明财务反应不明显并非是因为观察窗口太短。这也支持了使用两年事件窗口的合理性。
表14 扩展样本的财务行为

尽管排除了其他因素的影响,仍然存在一个问题:为什么在TCJA释放流动性后,企业每1美元中只有不到三分之一用于股票回购,而有一半被保留为现金?传统观点及实证研究表明,不受约束的企业通常会通过向股东支付现金来回应流动性冲击,而不是选择保留现金。文章的研究结果表明,企业在面对正向流动性冲击时,并不会迅速调整现金比率,这表明名义现金持有存在一定的粘性。可能的解释是,企业在支付和保留新增流动性之间并没有强烈的偏好。在改革前,由于汇回税的存在,保留现金的边际收益较高,因此海外现金得以积累。而在改革后,企业面临的现金持有权衡主要是持有成本与代理问题之间的平衡,这对于治理良好、财务不受约束的企业来说,传统的边际成本和收益非常小,因此最优现金持有水平较为不确定。此外,改革后企业保留大量现金时并未减少杠杆水平,这可能是为了降低违约概率并减少借款成本。最后,TCJA改革可能使得企业的最优内部流动性水平上升,从而提高了企业的最优现金持有水平,解释了为何企业选择保留释放出来的海外现金。
五、研究结论
TCJA释放了高达1.7万亿美元原本滞留在美国跨国公司海外业务中的现金。文章利用美国经济分析局(BEA)的详细数据,构建了衡量企业受该政策变动影响程度的直接指标,并采用双重差分(DID)研究设计,探讨其对企业在美国本土及海外的实际经营和财务政策的影响。文章发现,该项政策变动与企业的资本支出、雇佣、研发投入或并购活动均无显著相关性,无论是在国内还是国外业务中,均如此。且这一结论不因企业面临的财务约束程度而有所不同。
在财务结果方面,该政策冲击与企业的分红或杠杆决策无关,但与股票回购呈现出中等程度的正相关。改革前拥有更多“被困”海外现金的企业,在改革后每释放1美元海外现金,其合并口径现金持有量减少了48美分。也就是说,企业大约保留了一半的释放资金。公司治理强度似乎并未对企业的财务响应起到调节作用。
文章的研究结果表明,增加的资本可得性并未显著影响企业的实际决策,而企业对现金比率的调整也仅表现出“宽松”的目标管理。这与持有现金的边际成本和收益较小、以及企业缺乏动机将海外积累的多余现金分配出去的情况是一致的。
ABSTRACT
The Tax Cuts and Jobs Act unlocked as much as $1.7 trillion of U.S. multinationals’ foreign cash. We examine the real and financial response to this liquidity shock and find that firms did not increase capital expenditures, employment, R&D, or M&A, regardless of financial constraints. On the financial side, firms paid out only about one-third of the new liquidity to shareholders and retained half as cash. This high retention was not associated with poor governance. The high propensity to retain the liquidity shock as cash, even among well-governed firms with limited financial constraints, is difficult to reconcile with existing theory.