原文信息:Cingano, F., Palomba, F., Pinotti, P., & Rettore, E. (2025). Making Subsidies Work: Rules versus Discretion. Econometrica, 93(3), 747-778.
原文链接:https://onlinelibrary.wiley.com/doi/full/10.3982/ECTA21319
图片来源:必应图片
成语出处:宋·朱熹《中庸集注》:“中者,不偏不倚,无过不及之名。”
引言
近年来,政府对企业的各类补贴在公共支出中占据越来越重要的地位,并逐渐成为促进经济增长和结构转型的重要政策工具。随着补贴规模的不断扩大,关于公共补贴扶持对象以及实际效果的讨论也日益增多。部分研究认为,小型企业由于融资渠道有限、资金约束较强,更容易受到公共补贴的激励;但也有文献指出,市场摩擦可能抑制大型企业的投资行为,使得公共补贴对大型企业同样有效。这使得政策设计面临抉择:应当依照客观标准实行“规则式”分配,以确保公平与透明,还是给予地方政府一定的“裁量”空间,以便其根据掌握的信息灵活决策?前者有助于提高行政效率、防止寻租,而后者则可能更好地识别潜力项目或扶持弱势地区。这种“规则与裁量”的取舍,不仅是宏观政策中的经典议题,也贯穿于政府干预的各个维度。
基于此,本文以意大利在1996-2007年间实施的公共补贴政策(1992年第488号法案,下称“L488/92”)为研究背景,采用断点回归分析了公共补贴在“规则式”与“裁量式”分配机制下的政策效果差异。研究发现:(1)从断点回归的结果来看,投资在三年补贴期内平均增加43%,就业上升11%,且就业增长在补贴结束后仍持续扩大,六年累计增幅达17%;(2)在整体样本中,意大利北部地区每1欧元补贴可带动3欧元新增投资,而南部地区新增投资仅1欧元,两地单位新增就业成本分别为6.8万欧元与24.1万欧元;(3)在分配机制方面,若完全依照客观标准(规则)分配,新增就业和投资的单位成本将分别下降11%与13%;若完全依赖地方政治裁量,则成本分别上升42%与22%。
本文有以下两点边际贡献:(1)本文拓展了公共补贴实际效果的相关研究。现有文献主要关注公共补贴对企业投资、就业与产出的平均影响和总体效应,而本文以意大利公共补贴计划为研究背景,分析了不同类型企业的异质性反应,并进一步比较了“规则式”与“裁量式”分配机制下的政策成本效率。(2)本文补充了政治裁量与政策效应的相关研究。现有文献多聚焦于政府采购领域,探讨政治裁量对价格、效率及寻租行为的影响,但缺乏能够直接衡量裁量程度的实证场景,而本文利用L488/92制度中同时包含“规则得分”与“裁量得分”的特征,构建了可观测的政治裁量指标,并据此定量评估政治裁量对补贴绩效的影响。
制度背景与数据来源
(一)制度背景
二战后,意大利长期存在明显的地区经济差异,北部经济发达、南部相对落后,且劳动力流动性较低,地区间资源难以有效配置。为缓解地区发展不均,意大利政府推行了多种形式的财政支持,其中最具代表性的是1996-2007年实施的L488/92公共补贴计划。该计划面向制造业、旅游业、商业及部分能源与信息技术项目,通过公开招标方式发放资金,总额约260亿欧元,其中近85%投向经济欠发达的南部地区。L488/92的补贴发放过程包括三个阶段。首先,企业需提交投资项目申请;其次,政府根据既定标准对项目进行评分;最后,按照得分高低依次发放补贴,直至预算资金全部分配完毕。由于每一轮招标在招标批次、地区以及申请类别的细分单元内分别设定独立预算,项目实际竞争是在这些独立单元内进行的。当某一单元的预算被逐项消耗直至用尽时,最后一个获得补贴的项目所对应的得分即为该单元的断点。项目评分主要依据四项指标:(1)项目投资额与所申请补贴额的比率;(2)项目预计创造的就业岗位数量;(3)项目申请补贴额度相对于欧盟委员会设定基准的比例;(4)地方政府根据区域发展优先级给予的附加分。前述三项反映客观、可量化的评估标准,可视为“规则得分”(SR);最后一项体现地方政府的主观判断,代表“裁量得分”(SD)。项目的最终得分为四项标准化子分数的简单加总。
(二)数据来源
本文主要使用了以下三种数据:(1)1996-2007年间L488/92所有申请企业的投标资料,记录了地理位置、申请补贴额、各项标准得分等信息;(2)意大利社会保障研究所档案,记录了所有注册企业的就业与进入退出信息;(3)Cerved资产负债表数据,记录了上述样本中70%企业的投资、收入与增值额等信息。
公共补贴的影响因素
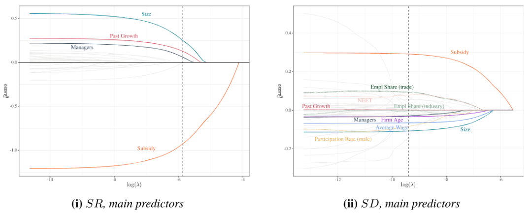
本文首先通过LASSO回归分析裁量得分(SD)与规则得分(SR)的决定因素,以揭示地方政府在投资补贴分配中的实际取向。如图1所示,SD明显偏向规模较小、资金需求较高及位于经济相对落后地区的企业,而SR则主要由企业规模与自筹资金比例等客观指标驱动;在区域层面,青年失业率高、非制造业比重大、工资水平和企业年龄较低的地区更易获得高裁量得分。表明地方政府的自由裁量具有明显的“再分配”取向,意在扶持弱势企业与欠发达地区,而非单纯的政治寻租。虽然SR与SD在整体上表现为负相关,但在控制企业规模和申请补贴金额后,这一相关性不复存在,表明两者的反向关系源于企业特征差异,而非评分机制本身,因此SR与SD是相互独立的评分维度。
FIGURE 1.—Predictors of the discretionary sub-score (SD) and the objective sub-score (SR).
实证设计
本文首先通过断点回归方法,研究了公共补贴在断点(预算资金全部分配完毕的得分)附近的经济影响,具体回归模型如下:
其中,Y为企业结果变量,如投资、就业或产出;核心解释变量D为补贴虚拟变量,若企业得分高于断点并获得补贴,取值为1,反之取值为0。S为标准化申请得分,决定企业是否获得补贴;模型中进一步加入S的p阶多项式项及其与D的交互项,以控制企业得分与结果变量之间可能存在的非线性关系;同时引入组别固定效应FEc,以控制不同申报轮次、地区或企业类别间的系统性差异。核心参数衡量在得分断点附近,获得补贴对企业结果变量的局部平均处理效应。考虑到断点回归结果无法解释整体政策效应,本文借鉴Angrist和Rokkanen (2015)的实证策略,将因果效应拓展至整体,以进行成本收益分析。
公共补贴在断点局部的经济影响
为识别公共补贴在断点附近的经济影响,本文基于(3)式对得分略高于和略低于补贴门槛的企业进行比较分析。如图3及图4所示,获得补贴的企业在三年补贴期内投资额平均增加约43%,就业规模提升约11%,且就业增长在补贴期结束后持续扩大,六年后累计增幅达17%。同时,企业营业收入与增加值的增长与就业大致同步,说明补贴主要促进了企业的资本和劳动投入扩张,而未显著改善生产率水平。此外,企业存续率提高约3个百分点,表明补贴亦增强了企业生存能力。综合来看,公共补贴在断点附近显著促进了企业的资本积累与就业增长,带动了生产规模的扩大,但其作用主要体现为要素投入的增加,而非生产效率的提升。
FIGURE 3.—Funds obtained by winning firms and investment over the following three years.
FIGURE 4.—The effect of the L488/92 subsidy on firm employment.
公共补贴的扩展性分析
(一)公共补贴的总体效应与地区异质性
本文将分析范围从断点附近扩展至更广泛的企业群体,采用Angrist 和 Rokkanen(2015)提出的条件均值独立性方法,在控制企业特征后,将局部处理效应外推至全部样本,以考察公共补贴的总体效应。结果表明,公共补贴在整体上显著促进了企业的投资、就业与存续,但效应随项目得分上升而递减。进一步的地区分析显示,北部地区的投资乘数与就业创造效率明显高于南部:每1欧元补贴在北部带来约3欧元新增投资,而南部仅约1欧元;对应的新增就业成本分别为68,000欧元与241,000欧元。表明公共补贴在经济基础较强的地区更具资本转化效率,而在经济落后地区则存在较高的资金消耗与较低的就业产出。
(二)公共补贴评分维度与分配机制
为进一步识别政策效应的来源,本文将企业得分拆分为规则评分(SR)与裁量评分(SD),估计结果如图8所示,两类评分中高得分企业的就业增长效应均更显著,但政治裁量得分高的企业通常规模较小、补贴金额更高,导致单位补贴创造的岗位数较少,效率偏低。进一步的反事实模拟结果显示,若仅依据客观规则分配,新增就业成本可降低约11%;若完全依赖政治裁量,则成本上升约42%。表明政治裁量虽具有一定再分配功能,但显著削弱了政策的总体成本效益。
FIGURE 8.—Treatment effect and new jobs created per €100,000, rules versus discretion.
结论
本文以意大利在1996—2007年实施的公共补贴政策为研究背景,采用断点回归方法分析不同分配机制下补贴政策的实际效果。研究发现,公共补贴显著推动了企业的投资和就业,其中投资增长主要集中在补贴执行期内,而就业扩张具有更强的持续性。地区间的政策绩效存在明显差异,经济基础较强的地区能够更有效地将补贴转化为新增投资和就业。进一步比较发现,规则化、基于客观标准的分配机制能够显著提升政策的执行效率;相反,若过度依赖地方政府的政治裁量,补贴资金的配置效率将明显下降,政策成本也随之上升。
推荐理由
在政治经济学领域,如何在规则与裁量之间取得平衡,一直是政府决策面临的重要困境。本文以意大利公共补贴政策为研究对象,从企业层面提供了相关实证证据。研究发现,相较于规则式分配,依赖行政裁量的政策往往伴随更高的单位成本和更低的资源配置效率。这一结论对当代中国的政策设计具有启示意义。当前中国的产业扶持政策普遍采取“中央设定框架、地方具体执行”的体制,地方政府在项目筛选、补贴审批和政策落实中拥有较大自由度。这种机制虽能激发地方积极性、体现差异化发展优势,但也可能引发资源错配、重复激励和寻租问题。未来研究可借鉴本文思路,从“规则-裁量”视角评估中国产业政策的执行机制,以探讨如何在保持地方灵活性的同时提升公共资金使用效率和政策实施成效。
推荐人:米兰电竞·(中国区)财政税务学院 周智霖
排版 | 杜天昊
一审 | 蒋 飞
二审 | 欧阳洁
米兰电竞·(中国区)财政税务学院
海南大学国际商学院
米兰电竞·(中国区)收入分配与现代财政引智基地
全球公共财政研究中心
读经典之文献
学先进之方法
铸坚实之基础
享深邃之思想