(如需转载,请后台联系管理员)
原文信息:Talamas Marcos, M. Á. (2025). Surviving Competition: Neighbourhood Shops versus Convenience Chains. Review of Economic Studies, 92(1), 553–585.
原文链接:
https://academic.oup.com/restud/article/92/1/553/7617291
图片来源:必应图片
推文期数:274期
成语出处:“扬长避短”是指根据实际情况发挥优势条件并规避不利因素。最早明确出处为秦牧在《漫记端木蕻良》中的文学评论,该文通过分析作家创作题材选择,提出“扬长避短”既是艺术创作策略,也是实现个人抱负的有效路径。
引言
在发展中国家,数量众多的小微企业不仅有助于吸纳就业、增加居民收入,还为低收入群体提供与其消费能力相匹配的产品与服务。经济学理论认为,在经济发展过程中,市场机制促使生产要素从低效率的小微企业重新配置到具有规模效益与成本优势的大型企业,从而提升整个经济系统的效率。然而,现实情况表明,尽管面临着日益激烈的来自大型企业的市场竞争压力,小微企业仍持续存在且数量庞大,这一现象与经济学理论相悖。基于此,本文试图回答以下两个问题:①大型企业带来的竞争压力会导致多少小微企业退出?②那些在竞争中持续生存的小微企业,依赖何种比较优势弥补规模与效率上的不足?
本文基于墨西哥社区商店(Neighbourhood Shop)与连锁便利店(Chain-run Convenience Store)之间的市场竞争研究上述问题。长期以来,以社区商店为代表的零售经济在墨西哥经济结构中占比较高。与此同时,近年来连锁便利店快速扩张。由于二者提供的产品与服务具有高度相似性,连锁便利店凭借规模经济优势,给社区商店带来了较大的竞争压力。为了识别连锁便利店增加对社区商店的因果影响,本文使用“规模经济优势×社区内宽阔街道比例”这一交乘项作为连锁便利店设立的工具变量(Instrumental Variable)进行分析,缓解遗漏变量等内生性问题的干扰。研究发现:①连锁便利店增加会导致社区商店总数减少,但这主要是由于社区商店新增数量减少,对社区商店退出数量没有显著影响;②连锁便利店增加对社区商店经营绩效的负面影响主要体现在广延边际上,在社区层面,连锁便利店增加导致当地社区商店的总利润、总收入以及雇佣人数减少,就单个社区商店而言,上述负面影响将减少2/3;③连锁便利店增加后,消费者仍然会在社区商店消费,但消费频率与消费支出显著下降,但这一影响在不同类型的产品中具有异质性;④机制分析表明,受竞争冲击较小的社区商店主要是规模相对更小、由店主亲自经营的店铺,因为这类社区商店代理成本较低,并通过与顾客建立良好关系、灵活调整商品组合、提供非正式信贷(如赊账服务)等方式增强客户粘性,从而在激烈竞争中维持生存。
本文的研究贡献主要在以下两方面:①为理解小微企业成长受限的原因提供新视角。既有文献主要从融资约束、盈利能力不足、制度建设薄弱等方面分析小微企业的发展约束,本研究则表明小微企业的小规模特征是其得以持续生存的重要机制,是小微企业在“持续生存”与“成长发展”之间权衡选择的结果;②通过数据与方法的创新,为研究大型企业扩张对小微企业的影响提供可靠的因果识别。既有文献使用的行政数据或调查数据通常设置了企业收入或员工人数的统计门槛,导致规模极小的经营主体被排除在外,基于此类数据的研究存在影响被低估的风险,本文使用覆盖超过100万家零售门店、长达20年的全量微观数据,结合工具变量法,有助于缓解测量误差、遗漏变量等内生性问题。
墨西哥的零售经济
1.社区商店
社区商店是墨西哥零售经济的典型形式,在经济结构中占比较高,占全国企业总数中的1/10、占所有零售业态的四分之一。店铺规模普遍较小,店铺平均面积约为28m2,平均雇佣人数为1.7人,主要由店主及其家庭成员经营,选址普遍临近店主住所,具有典型的家庭作坊式特征。在供应链方面,社区商店主要从当地批发市场进货,同时还会提供自制的新鲜食品。在墨西哥,社区商店不仅具有商品交易的经济功能,而且是店主与当地居民的社区生活中心,承载着信息交流、邻里互助等社交功能。
2.连锁便利店
近年来,以Oxxo、7-Eleven等品牌为代表的连锁便利店在墨西哥快速扩张,截至2019年,这类连锁便利店的数量从不到2000家增长至超过23000家。连锁便利店的平均面积约为20-50m2,平均雇佣人数为6-10人。在供应链方面,每个区域的仓库通过覆盖全国的物流配送网络为每家便利店配货。这些便利店主要分布在人流量较大、交通便捷的宽阔街道上。
3.社区商店与连锁便利店的竞争关系
社区商店的经营业务与连锁便利店重合度较高,二者构成直接竞争关系。尽管长期以来社区商店在零售经济中占比较高,但连锁便利店凭借高效运营模式实现了快速扩张,从坪效(Annual Sales per Square Metre)与息税摊销前利润(Earnings Before Interest, Taxes, Depreciation and Amortization,EBITDA)来看,其盈利能力已超越传统大型零售商。此外,连锁便利店还具有明显的规模经济优势,可通过跨门店成本分摊、更强的供应商议价能力、更低的融资成本以及对物流系统和信息技术的持续投入来提升效率。因此,连锁便利店的扩张对社区商店的生存与发展带来了显著竞争压力。但社区商店也具备独特的比较优势,主要体现在与顾客建立长期信任关系、根据顾客需求灵活调整商品组合,以及向熟客提供非正式信贷服务等方面。
数据来源与实证设计
1.数据来源
墨西哥经济普查(Mexican Economic Censuses)是一项覆盖全国的全面经济调查,其独特优势在于不设企业规模门槛、纳入了所有正式与非正式企业,从而能够完整反映所有小微企业的信息。普查提供了企业收入、利润、雇佣规模、投资及地理位置等关键信息。此外,普查依据墨西哥产品和服务分类标准,对不同零售业态进行了明确区分,例如为社区商店(461110)、连锁便利店(462112)设置了独立的行业分类代码,这使得本文可以清晰区分社区商店与连锁便利店。
墨西哥收入与支出调查(Income and Expenditure Surveys)是一项由墨西哥统计局主导的调查项目,系统记录了家庭消费行为,包括消费内容、购买地点及支付方式。墨西哥行政区划层级可以分为州、市镇和村三级,统计局在市镇层级以街道为边界划分城市人口普查区块(Áreas Geoestadísticas Básicas,AGEBs)。
本文以每个人口普查区质心为中心绘制半径为1公里的圆形区域,将所有与该圆相交的人口普查区合并,定义为一个“社区”(Neighbourhood)。平均而言,每个社区约涵盖12个人口普查区、370个街区、3万名居民,包含约68家社区商店和5家连锁便利店。
2.实证设计
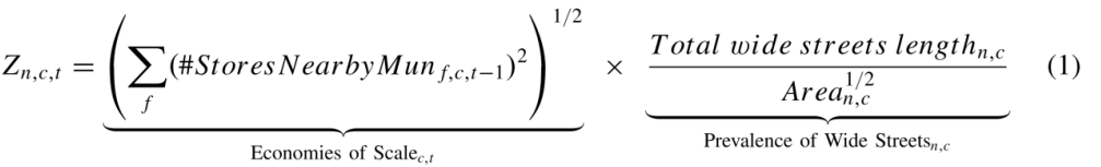
在考察连锁便利店增加对社区商店的影响时,实证分析可能受到潜在内生性问题的影响,如宏观经济增长、消费需求扩张等因素可能同时推动连锁便利店的扩张与社区商店的表现,从而导致遗漏变量偏误。为了缓解上述问题,本文根据连锁便利店的选址特征构建工具变量进行分析。具体而言,连锁便利店为了实现区域规模经济效应,通常开设在周边同一品牌门店数量较多的位置,且更倾向于在宽阔街道选址,以获取更高客流和可见度,而社区商店则较少受这些因素影响。
基于此,本文构建了“规模经济优势×社区内宽阔街道比例”这一交乘项作为连锁便利店增加的工具变量,用以分析连锁便利店增加的影响。具体形式如式(1)所示:
交互项的第一部分是“规模经济优势”:以相邻市镇为范围,采用赫芬达尔-赫希曼指数衡量连锁便利店的集中度,具体通过计算各连锁品牌在这些相邻市镇店铺数量的平方和并取平方根,且使用滞后项避免同期干扰,该指标能反映连锁便利店通过区域内同品牌店铺共享配送、营销等成本形成的规模优势;第二部分是“社区内宽阔街道比例”:以社区内宽阔街道总长度除以社区面积的平方根,体现社区对连锁便利店的选址适配性。两者的交互项表明,区域规模经济越强的地区、宽阔街道越密集的社区对连锁便利店选址的吸引力越强。
市场竞争下社区商店的反应
1.社区商店的数量
本文首先考察了连锁便利店增加对社区商店数量的影响。表2的结果表明,社区每新增1家连锁便利店,社区商店数量减少3.85家。进一步分析社区商店的进入数量与退出数量可以发现,社区商店数量减少主要由进入数量减少驱动,社区每新增1家连锁便利店,社区商店进入数量减少1.4家,退出数量反而减少0.7家。这可能是因为效率较低的潜在进入者减少,而现存社区商店凭借比较优势应对市场竞争,降低了退出风险,即得以存续发展的社区商店生存能力更强。
2.社区商店的雇佣规模与工资收入
本文进一步考察了社区商店的经营情况。图3的结果表明,连锁便利店增加对社区商店的负面影响集中体现在广延边际层面:连锁便利店增加导致社区层面社区商店的总收入、总利润明显下降,降幅达29%,增加值、人均利润及库存等指标同样受到负面影响。而单个商店受到的负面影响相对较小,仅为行业层面的1/3。
3.消费者行为变化
连锁便利店快速扩张后,消费者行为是否发生变化?表4的结果表明,连锁便利店扩张后,大多数家庭仍会在社区商店消费,但消费行为发生变化:当社区内连锁便利店增至平均 6.7家,居民在社区商店购物的频率下降3.5%,在社区商店的消费支出下降10%。
社区商店持续经营的机制分析
为深入探讨市场竞争加剧背景下,社区商店持续经营的原因,本文使用条件离散选择模型(Conditional Discrete Choice Model)分析影响消费者消费行为的因素。根据表5的结果可知,距离更近、提供新鲜产品、提供非正式信贷(赊账服务)是促使居民选择到社区商店消费的驱动因素。基于社区商店规模、产品稀有程度以及店主与社区的紧密程度进行异质性分析发现,小规模且由店主亲自经营的社区商店可以与居民建立密切关系、提供定制化的产品,同时其代理成本相对较低,因而能够在竞争中维持一定市场份额。
结论
本文基于墨西哥零售行业中传统社区商店与连锁便利店的竞争关系,分析大型企业扩张对小微企业的影响及其机制。研究发现,连锁便利店增加会导致社区商店总数减少,但这主要是由于社区商店新增数量减少,对社区商店退出数量没有显著影响。留存下来的社区商店得以持续生存的核心在于小规模且店主亲自经营模式,这一经营模式的比较优势包括低代理成本、紧密的社区关系、提供定制化产品组合以及为低收入群体提供非正式信贷。
推荐理由
新古典经济学的配置效率理论认为,当市场机制发挥作用时,生产要素从低效率的小微企业重新配置到高效率的大型企业,但现实市场仍有大量小企业凭借自身比较优势持续生存。在医疗领域中,三级医院类似大型企业,具有技术先进、专科齐全等优势,能够处理复杂疾病和急危重症;社区基层医疗机构则类似小微企业,凭借通达度高、服务灵活、成本较低的优势,为居民提供常见病诊疗、慢性病管理等基础性医疗服务。理论上,两者应形成分工明确、协同互补的分级诊疗体系。然而,由于信息不对称与道德风险在患者群体中普遍存在,大量患者无论病情轻重均首选三级医院就诊,出现三级医院医疗资源供给不足、基层医疗机构医疗资源闲置的困境。后续研究可以参考本文分析框架,探讨当前分级诊疗制度落实不足的深层机制:究竟是大医院通过“虹吸效应”聚集了区域内优质医疗资源,还是患者因为信息不足与道德风险做出的主动选择?
推荐人:米兰电竞·(中国区)财政税务学院 刘桦
排版 | 杨春亭
一审 | 蒋 飞
二审 | 高思涵
米兰电竞·(中国区)财政税务学院
海南大学国际商学院
米兰电竞·(中国区)收入分配与现代财政引智基地
全球公共财政研究中心
读经典之文献
学先进之方法
铸坚实之基础
享深邃之思想