(如需转载,请后台联系管理员)
原文信息:Costantini Sydney., 2025, "How Do Mental Health Treatment Delays Impact Long-Term Mortality?", American Economic Review, 115 (5): 1672–1707.
原文链接:
https://www.aeaweb.org/articles?id=10.1257/aer.20240226
图片来源:谷歌图片
推文期数:268期
引言
心理健康问题正日益成为全球性的公共健康挑战。现有研究发现,严重心理疾病患者的平均寿命比普通人群短10至20年(Liu et al.,2017)。近年来,随着心理疾病的污名化程度逐渐降低,寻求心理健康治疗的患者数量持续上升。尽管行为干预和药物治疗在缓解抑郁症状、改善心理健康方面被证明是有效的,但如果急需心理健康治疗的群体未能及时获得医疗服务会产生何种后果?理论上,心理健康服务延迟可能降低患者治疗参与度,进而影响患者长期健康状况。
美国退伍军人因受战争影响而患有创伤后应激障碍(PTSD)、物质使用障碍(SUD)等精神疾病的比例远高于普通人群。美国退伍军人事务部(the Department of Veterans Affairs,VA)虽然为退伍军人提供了心理健康服务,但受制于心理健康医生数量不足等因素,仍然存在治疗等待时间较长的现象。基于此,本文通过VA医疗系统2001–2015年的急诊就医数据分析了心理疾病就诊等待时间对患者长期死亡率的影响。研究发现:①心理健康治疗等待时间的延长显著提高了患者长期死亡率。每延误约11.7天会使患者的长期死亡率增加约0.113个百分点。②治疗等待时间的延长降低了患者的治疗参与度。等待时间每延长11.7天,患者参与治疗的概率下降约2个百分点,导致部分患者与心理疾病诊疗体系彻底脱节,显著增加其长期死亡风险。③由治疗延误所导致的长期死亡率上升主要集中于患有物质使用障碍或精神病的高危患者群体,对焦虑、抑郁患者影响较小。
本文的研究贡献有以下三点:①与以往主要关注职业发展和个体收入的研究不同,本文直接考察治疗等待时间与患者寿命之间的关系,提供了心理疾病治疗延误对长期死亡率影响的因果证据。②通过构造外生性变量,有效克服了患者自身选择和医生预约安排的内生性问题,提高了因果推断的可信度。③深入分析治疗延迟影响的传导机制,揭示了缺席就诊对患者长期健康状况的潜在风险。
制度背景与数据
1.制度背景
长期以来,美国的医疗体系被认为具有“重身体疾病,轻心理疾病”的特点。2008年,美国曾试图通过法案缩小心理健康与身体健康之间的保障差距,但各地心理健康服务供给仍严重不足,导致患者需要自付高昂费用或者等待较长时间。相比之下,美国退伍军人事务部作为全美唯一整合保险与医疗服务的公共医疗系统,为退伍军人提供了相对全面的心理健康服务。其中,与服役相关的心理健康问题治疗免费,而其他治疗则需要自付少量费用。该部门曾在2015年提出将首次心理治疗预约时间控制在30天内。然而,尽管有较为完善的保障体系,退伍军人仍普遍反映心理健康诊疗等待时间较长,难以及时获得治疗。
2.数据来源
本文的研究数据来源于VA系统的企业数据仓库(Corporate Data Warehouse,CDW)。CDW记录了所有门诊和住院就诊患者的就诊编码、出生日期、性别、种族等基本特征,以及预约日程和检查信息。为构建长期健康数据,本文将CDW中更新的死亡记录与退伍军人福利管理局(the Veterans Benefits Administration,VBA)、医疗保险服务中心(Centers for Medicare and Medicaid Services,CMS)以及社会保障局(Social Security Administration,SSA)数据进行匹配,得到近乎完备的两年死亡追踪数据。
为避免新冠疫情对长期死亡率造成干扰,本文选取的样本为2001年1月1日至2015年2月28日期间,在VA急诊部接受精神健康相关诊断治疗的退伍军人。此外,研究仅保留每位患者的首次精神科急诊,剔除那些没有在90天内安排任何随访预约的患者以防止重复测量。最终样本包括来自128家医院的621289名患者。
实证策略
1.心理疾病诊疗等待时长的指标构建
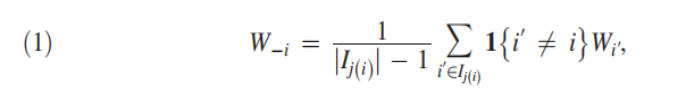
本文实证部分的关键在于解释变量,即患者平均等待时间的构建。作者将心理疾病诊疗等待时长定义为患者首次从急诊科就诊到其心理健康随访预约之间的时间。但考虑到该时长可能受医生数量、患者预约偏好以及患者病情严重程度等因素的影响,从而造成内生性问题,本文构造了一个与给定患者风险水平无关的诊所拥堵指标来衡量等待时间。具体做法是:对于每位急诊出院患者,首先记录急诊与首次随访预约之间的天数。然后将在同一个时间段(两周内)到达同一医院,预约类型相同的患者归为组J(i),对于患者i,计算该组中去除本人后其他患者的平均等待时间,得到指标W-i,并对其进行标准化处理,以便将系数解释为单位标准差增加带来的影响。
该指标反映了在患者来访时,心理疾病诊所的总体等待时长。其中,wi'是患者i的等待时间,Ij(i)是与患者i处于同一医院-时间段-预约类型组的患者集合。由于w-i仅依赖于同时段其他患者的预约情况,理论上它与患者个人的风险和偏好无关。
为进一步验证指标的有效性,本文分别检验了该指标与患者自身等待时间以及预期死亡率之间的关系。结果显示,w-i和前者高度正相关,与后者不存在显著关系。这说明w-i能够作为患者自身等待时间的有效代表,且高低风险患者遇到拥堵情况的可能性相近,即w-i与患者的风险水平无关,近似于准随机分配。
2.基准回归模型
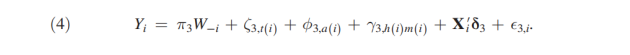
本文的基准回归模型设定如下:
其中,Yi表示患者的两年死亡率,w-i为平均等待时间,ζ3,t(i)是时间段固定效应,Φ3,α(i)是预约类型固定效应,γ3,h(i)m(i)是医院×年月固定效应,Xi'δ3为一系列患者特征的控制变量,包括性别、种族、过去精神科就诊情况等信息。ε3,i为误差项。
实证结果
1.心理疾病治疗等待时间对长期死亡率的影响
本文首先考察了退伍军人患者就诊等待时间与长期死亡率之间的关系。结果如表1A所示,平均等待时间每增加1个标准差(11.7天),患者的长期死亡率将提升0.113个百分点。在加入一系列控制变量后,结果依然相似,这表明诊所拥堵带来的治疗延误会显著增加患者未来的死亡风险。表1B进一步按急诊时的主要诊断类别进行子样本回归,结果显示,等待时间对药物滥用和精神病患者等高风险人群的死亡率存在显著提升,而对一般情绪障碍、焦虑、PTSD等轻度患者则影响微弱,说明治疗延误带来的死亡率上升主要集中于病情严重、基础死亡风险更高的患者群体。
2.内生性检验
不同随访预约类型的平均等待时间存在差异,当患者适用多种类型的治疗方案时,其对预约类型的选择可能引发内生性问题。尽管本文在基准回归中已对患者的预约类型加以控制,但急诊科可能根据预约患者数量调整转诊决策,从而使患者被分配到不同就诊类型的概率与其健康状况相关。对此,本文使用两种替代性估计策略进行检验。第一种方法在基准模型中加入医院 × 预约类型、预约类型 × 时间段这两组更细分的固定效应,第二种方法则是通过预测的患者预约类型而非实际分配的预约类型来重新构建w-i。内生性检验结果均表明,心理健康治疗等待时间对患者的长期死亡率存在显著提升。
3.治疗延误对随访预约就诊率的影响
为研究心理健康治疗延误对随访就诊行为的影响,图5A绘制了按时就诊患者(绿色线)与未按时就诊患者(蓝色线)的实际等待时间累积分布。可以看出,未出席随访的患者往往等待时间更长。图5B展示了未就诊概率与平均等待时间的关系,结果显示,平均等待时间每增加一个标准差,患者错过首次随访的概率约提高2个百分点,两年期死亡率则相应上升5.6个百分点。这揭示了缺席随访的重要影响:门诊拥堵带来的治疗延误使那些本就对是否出席随访踌躇不定的患者倾向于缺席随访,逐渐放弃心理健康治疗,进而导致其长期死亡率上升。
结论
本文基于美国退伍军人的心理疾病诊疗数据研究发现,即使对于享受完善医疗保障的退伍军人,心理健康门诊拥堵带来的排队与治疗延误仍通过降低患者的随访出席率造成后续治疗脱节,进而对其健康产生显著、持久的负面影响,且该效应对死亡率本就偏高的重症患者尤为突出。这表明在完善医疗保障体系的同时,医疗人力资源配置、诊疗设施的扩充与预约流程的优化也应得到更多重视。
推荐理由
本文的研究表明,在相对完善的医疗保障体系下,心理健康医疗资源不足造成的治疗延误仍然会严重影响患者健康。我国拥有庞大的人口基数,心理疾病诊疗服务面临着重要挑战。面对激烈竞争社会中年轻人愈演愈烈的心理健康问题,我国现有医疗资源与保障体系是否存在明显缺口?能否有效应对国民的心理健康诊疗需求?如何进一步完善我国的心理健康医疗体系?这些都是未来值得研究的问题。
推荐人:米兰电竞·(中国区)财政税务学院 罗皓元
排版 | 杨春亭
一审 | 蒋 飞
二审 | 万 欣
米兰电竞·(中国区)财政税务学院
华中科技大学管理学院
米兰电竞·(中国区)收入分配与现代财政引智基地
全球公共财政研究中心
读经典之文献
学先进之方法
铸坚实之基础
享深邃之思想