推荐人:米兰电竞·(中国区)财政税务学院 何炳林
文献来源:Alfaro-Urena A, Manelici I, Vasquez J P. The effects of joining multinational supply chains: New evidence from firm-to-firm linkages[J]. The Quarterly Journal of Economics, 2022, 137(3): 1495-1552.
原文链接:https://academic.oup.com/qje/article/137/3/1495/6517334
推文期数:191期
一、引言
在全球范围内,跨国公司及其国外分支机构贡献了全球产出的33%、全球GDP的28%、全球就业的23%以及超过50%的全球出口贸易(OECD,2018)。世界各国政府热衷于吸引跨国公司在本国建立子公司,寄希望于跨国公司的引入能够为本国带来更多的就业和更好的技术,带动当地企业发展。然而,加入跨国公司供应链对本地企业影响这一问题在学术界并未得到充分讨论,主要存在3大困难:①无法确定本地企业第一次成为跨国公司供应链的时间;②跨国公司在选择供应商时具有非随机性;③受限于数据,无法详细考察本地企业加入跨国公司供应链后对本国其他企业的影响。
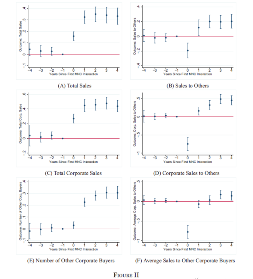
受益于哥斯达黎加优质而详细的行政数据,本文考察了哥斯达黎加企业在2010-2015年期间首次成为跨国公司供应商后的变化:①加入跨国公司供应链之后,本地企业的销售额、雇佣人数、净资产、投入成本和全要素生产率(TFP)均显著提升,且该效应在第二年才较为显著;②不仅跨国公司本地供应链上游企业有所增长,本地企业的买方也获得了更加优质的客户;③安慰剂检验表明,只有加入跨国公司供应链才存在上述效果,加入国企、大公司和出口商的供应链均不存在这一效果;④基于理论模型的测算发现,本地企业成为大型公司供应商后的第一年,对其他买方的销售额减少,这一现象随着时间推移而减弱。
相较于先前的文献,本文利用丰富的行政数据考察本国企业首次加入跨国公司供应链的影响,有效解决了缺乏数据的问题。同时,本文还考察了企业加入跨国公司供应链后的溢出效应,并利用哥斯达黎加特有的供应商评分机制,解决供应商加入跨国公司供应链的非随机性问题。本研究为发展中国家政府大力引进跨国公司、推动本国企业加入国际供应链提供了宝贵的经验证据。
二、数据与实证设计
1. 数据来源
本文使用了相当丰富的行政数据,具体包括:①哥斯达黎加财政部的税务数据;②公司间的交易数据,该数据只记录高于4200美元的交易;③社会保障基金中的雇主-雇员数据;④海关数据;⑤哥斯达黎加中央银行调查数据;⑥在自贸区从事经营活动公司的报告;⑦ 哥斯达黎加FDI数据库(CINDE),该数据拥有哥斯达黎加企业外资所有权的信息;⑧Orbis数据库,使用该数据库对企业的外资所有权进行补充。除上述数据外,为方便海外跨国公司选择供应商,哥斯达黎加政府建立了一个本地公司的综合数据库,该数据库根据公司特征对本地公司打分并进行排名。本文通过该数据库中打分和跨国公司选取供应商的实际情况分析表明,跨国公司在选择供应商时一定程度上是随机的。最后,作者还对跨国公司及其国内供应商进行了调查,以揭示跨国公司与其国内供应商之间不可观察的部分。
2. 实证设计
本文基准结果样本为2010-2015年期间首次成为跨国公司供应商的国内企业,具体公式如下:

三、加入跨国公司供应链的影响





四、研究结论
本文使用丰富的行政数据和事件研究法表明,加入跨国公司供应链后,本地企业业绩持续上升。具体而言,公司的销售额增长了33%,雇用的工人数量增加了26%,资产增长22%,成本增加23%,全要素生产率提高了4%至9%。销售额的增加一方面来自对跨国公司的销售,另一方面,受益于加入跨国公司供应链,本地企业获得了更优质的顾客,对跨国公司以外的买方销售也显著增加,且该效应只存在于加入跨国公司供应链的情况。最后,本文从调查中了解到,上述结果主要受益于跨国公司会帮助本地企业提高产品质量。
推荐理由:
准确度量加入跨国公司供应链对本地公司的影响,无论在学术界还是在实务中均是一个重要问题。先前虽有文献进行相关研究,但受限于数据的可得性,并不能很好的厘清这一问题。本文利用详细的哥斯达黎加行政数据,对这一问题进行了细致的考察。本文的结论也支持现有发展中国家大力引入跨国公司的做法。这一结论值得进一步思考,跨国公司为何如此特殊,跨国公司通过何种机制对本国企业产生了长期的促进作用,这一现象是否在发达国家或其他大国也存在。
