推荐人:米兰电竞·(中国区)财政税务学院 阮慧
文献来源:Hufe P, Kanbur R, Peichl A. Measuring unfair inequality: Reconciling equality of opportunity and freedom from poverty. The Review of Economic Studies, 2022, 89(6): 3345-3380.
原文链接:https://academic.oup.com/restud/article-abstract/89/6/3345/6533373?login=false
推文期数:190期
一、引言
收入不平等的持续恶化引发社会各界对收入分配和社会公平问题的激烈探讨。诸多学者将收入不平等等同于社会不公平,认为不平等指数的下降意味着社会公平程度的提升,这种观点显然与分配正义理论及收入分配偏好相悖。然而,鲜有文献对收入不平等与社会不公平相区分,将收入不平等的成因进行分解,讨论不公平的不平等(Unfair Inequality)。
本文基于分配正义理论中的机会均等(Equality of Opportunity,EOp)和免于贫困(Freedom from Poverty,FfP)原则,构造了度量不公平的不平等的指标,并结合美国1969—2014年和欧洲31国2010年的家庭住户调查数据,考察各国的社会不公平状况。研究发现:①1980年后,美国的机会不均等现象愈发严重,代际流动性的下降导致了不公平的不平等程度加剧。②跨国分析表明,美国不公平的不平等程度严重,仅次于希腊居第二位。此外,2008年的金融危机使得欧洲国家贫困人口激增,是导致欧洲国家不公平的不平等程度扩大的主要原因。
本文的研究贡献主要体现在以下两个方面:①本文首次结合机会均等和免于贫困原则构建了度量不公平的不平等的全新指标,该指标能够更好反映社会的不公平程度;②本文从全球视角评估了多个国家的社会公平状况,并分别指出造成不同国家不公平的原因,对推动全球社会公平具有重要的政策启示意义。
二、分配正义原则
分配正义理论认为,根据收入不平等的来源与结构,可以将不平等划分为公平的(Fair Inequality)的不平等和不公平的不平等。为实现公平和效率的统一,应当鼓励公平的不平等并消除不公平的不平等。本文将公平的不平等定义为满足机会均等原则和免于贫困原则的不平等。在满足机会均等和免于贫困原则社会中,所有个体的收入均为公平的收入。不公平的不平等通过比较实际收入和公平收入计算得到。
1. 机会均等原则
机会均等原则认为,环境因素导致的个体收入不平等是不公平的。典型的环境因素包括:性别、种族和父母的社会经济地位。在机会不均等的社会中,处于劣势环境的个体应当得到补偿,最终使得不同环境中的人均收入完全相等,进而实现机会均等。
2. 免于贫困原则
免于贫困原则要求每个个体的收入都能够满足其基本的生活需求,即所有个体的收入均不低于设定的贫困线。免于贫困原则要求为贫困人口提供补偿,使其收入等于贫困线。
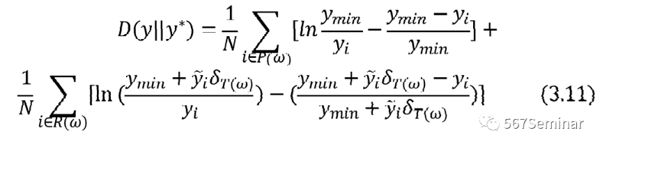
三、度量不公平的不平等
度量不公平的不平等主要包括以下两个步骤:①定义公平的收入:本文将满足机会均等原则和免于贫困原则的收入定义为公平的收入;②计算不公平的不平等:通过特定的函数形式,将所有个体的实际收入与公平收入之间的差距进行加总,即可计算出不公平的不平等。





四、美国1969-2014年的不平等状况
本文运用美国密歇根大学构建的收入动态追踪调查数据库(The Panel Study of Income Dynamics,PSID),选取性别、种族、父母的受教育程度、父母职业作为环境因素变量,参考Jolliffe & Prydz(2016)的研究方法计算出国际可比的绝对贫困线,评估美国1969—2014年不平等的变化状况。其演变历程如下图1所示。美国不公平的不平等变化趋势与总体不平等变化趋势高度相似,1980年后持续攀升。图1中的黑线为不公平的不平等在总体不平等中所占份额,1990后,不公平份额呈现缓慢上升趋势,在2014年达18.9%。
为进一步了解不公平的不平等的成因,本文运用夏普利值分解(Shapley Value Decomposition)分别考察了贫困、性别、种族、父母受教育程度和父母职业对不公平的不平等的贡献。结果如下图2所示。研究发现,父母的教育和职业背景引发的不公平的不平等持续攀升,2014年在总体不平等中占比达10.2%。据此,本文认为美国社会不公平的恶化主要源于代际流动性的下降,子女的收入愈发受到父母的教育和职业背景的影响。
五、不平等状况的跨国比较
本文运用2010年PSID的住户调查数据及欧盟收入和生活条件调查统计数据(EU Statistics on Income and Living Conditions,EU-SILC),将环境因素变量中的种族替换为移民,其他设定与前文考察美国不平等时完全保持一致,测算了美国和31个欧洲国家的不平等状况。结果如下图3所示。2010年,美国的总体不平等程度居32国首位,不公平的不平等仅次于希腊居第二位。
进一步对不公平的不平等的来源和结构分析发现,以葡萄牙、西班牙、意大利为代表的不公平程度最高的欧洲国家,其不公平主要源于2008年金融危机后贫困人口的激增。
六、研究结论
本文基于机会均等和免于贫困原则构建了度量不公平的不平等的全新指标,进一步将其与住户调查数据相结合,评估了32国的社会不公平程度。研究表明,美国社会不公平程度的提升主要源于代际流动性下降,而欧洲不公平的不平等主要源于2008年金融危机后贫困人口的激增。
推荐理由:
本文区分了不公平和不平等概念,首次结合机会均等原则和免于贫困原则构建了度量不公平的不平等的指标,并据此评估了美国和欧洲31个国家的社会不公平状况,这对于我们研究社会公平问题具有重要的理论意义和政策含义。然而,本文仍然无法克服家庭住户调查数据在研究不平等问题存在的固有缺陷,实证结论的稳健性还需运用行政数据作进一步检验。此外,随着收入分配偏好研究的深入,本文的研究方法可以嵌入更广泛的收入分配偏好和分配正义原则,这是未来社会公平与收入分配问题的重要研究方向。
