一、引言
  失业保险如何影响失业者工作搜寻行为?静态劳动力供给模型(Static Labor Supply Model)假设,失业者在失业后能够不耗费任何成本迅速找到新工作,失业救济金只能补贴闲暇。动态搜寻模型(Basic Job Search Model)认为,当失业者需要耗费时间和精力寻找新工作时,失业救济金就具有保险的价值。此后,众多研究以动态搜寻模型为基础讨论失业保险对工作搜寻行为的影响。然而,由于难以获得工作搜寻行为的历史数据,失业保险与工作搜寻行为间的因果关系难以识别。
  为了填补这一研究不足,作者使用来自法国工作在线求职平台PES的数据和失业者个人特征的行政数据集,通过失业和失业时间固定效应,分析失业保险到期前后一年工作搜寻行为的变化趋势,以验证失业保险对工作搜寻行为的直接影响。研究结论显示:(1)失业保险到期时,工作搜寻努力至少上升50%,并保持较高水平;(2)失业保险到期时,目标工资至少下降2.4%;(3)由于持续性依赖,无论失业者是否享有失业保险,其目标工资每年下降1.5%。
  相较于以往文献,作者使用纵向数据,为失业保险对工作搜寻行为的影响提供了经验证据。此外,本文证明了持续性依赖对目标工资的负向影响,这有助于解释失业保险对再就业工资的影响。最后,本文从观察个体层面的决策变量出发,验证了动态搜寻模型的预测。
  二、理论框架
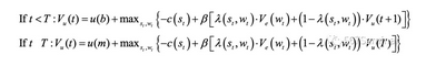
  本文在Mortensen(1977,1986)、van den Berg(1990)的基础上提出了一个简单的动态搜寻模型。首先,作者基于该模型提出如下假设:(1)每一时期,劳动力的全部收入用来消费;(2)t时期的效用由函数u给出;(3)β表示贴现率,b表示失业救济金,m表示失业福利,且m<b。该模型如下所示:< p="">

  作者模拟了最优搜寻行为并提出如下预测:(1)当失业保险到期时,失业者的工作搜寻努力会大幅上升;(2)工作搜寻努力的上升会在失业保险到期后保持;(3)当失业保险到期时,失业者的目标工资会下降;(4)目标工资的下降会在失业保险到期后保持。

  三、制度背景和数据
3.1 制度背景
  在法国,失业者申请失业保险需要满足以下条件:(1)在公共就业服务部门(PES)进行登记;(2)50岁以下的失业者,失业前28个月累计工作时长达到4个月(失业保险覆盖期最长24个月);(3)50岁以上的失业者,失业前36个月累计工作时长达到4个月(失业保险覆盖期最长36个月)。除此之外,在失业保险到期后,失业者还能够申请每月大约500欧的失业福利。PES是法国较为流行的在线求职平台,每5人中就有1人使用过该平台,再就业的人数中,有5.2%的失业者通过该平台获得工作。
3.2 数据
  本文的数据来自于法国公共就业服务机构管理的在线求职平台PES,相较于由私人运营的求职平台,PES平台可对接其他行政数据,使作者能够识别失业者,并获得失业者个人特征和再就业信息。本文将在2013-2017年开始失业并至少在PES平台上发送一份求职申请的失业者作为研究对象,无论他们是否获得失业保险。
  四、实证策略
4.1 样本
  本文的全样本包含没有失业保险以及拥有24个月失业保险的失业者,以观察失业保险用尽前后一年的工作搜寻行为。由于劳动力随时可能离职,全样本是一个非平衡的样本。因此,作者进一步将样本限制为:(1)失业保险为24个月且到期后仍失业一年的失业者;(2)没有覆盖失业保险且失业三年的失业者。
4.2 实证模型
  本文的基准回归模型如下:

  期季度t距离失业保险到期还有k个季度,对于无失业保险的失业者,此项恒等于0;T(i)表示失业保险覆盖期固定效应。
4.2 识别假定
4.2.1 平行趋势假定
  作者假设,如果拥有相同的福利期,有失业保险和没有失业保险的失业者会有相同的搜寻行为。因此,可反推,失业保险到期且影响消退后,二者行为会趋同。如果失业保险到期且影响消失后,二者行为产生不同趋势,则平行趋势假定被打破。作者使用基准回归模型对平行趋势假定进行检验发现,从失业保险到期后的第四个季度开始,回归结果均不显著,即平行趋势假定成立。具体结果如表D.1所示。

4.2.2 潜在的复杂因素
  以往的研究可能存在两种复杂因素影响实证结果。首先,为避免道德风险和逆向选择,政府有动机对领取失业救济的失业者进行监督,督促其迅速找到工作。然而,相较于其他国家,法国政府几乎不存在对失业者的监督行为。因此,作者认为,法国为本研究提供了一个理想的实验室,因为对工作搜寻努力的监督不太可能干扰实证结果。第二个潜在复杂因素是求职平台与其他工作搜寻渠道之间的替代性。作者在外部有效性检验部分通过logit模型证明PES平台与其他工作搜寻渠道不存在替代性。
  五、实证结果
5.1 工作搜寻努力
  本文估计了失业保险到期前后失业者工作搜寻努力的变化。结果如表3所示:

  表3的第2列中,作者通过加入失业保险覆盖期和失业时间固定效应发现,工作搜寻努力在失业保险到期前一个季度上升72%,在失业保险到期后一年仍超出基期23%。第4列中,作者通过加入失业固定效应发现,在失业保险到期前一年里,个人工作搜寻努力上升了100%,虽然工作搜寻努力在失业保险到期后一年后有所下降,但相较于基期仍上升80%。除此之外,第5列和第6列的回归结果表明:相较于全样本,失业保险到期前后一年,平衡样本的工作搜寻努力变动较为温和。
5.2 目标工资
  首先,本文估计了失业保险到期前后失业者目标月工资的变化。结果如表4所示:

  在加入失业保险覆盖期固定效应后,目标月工资出现大幅下降(第2列)。在加入失业固定效应后,失业保险到期前,目标月工资小幅下降(2.4%),并在到期后保持稳定水平。作者认为,这种差异是由失业者之间的异质性(动态选择)造成的:在失业期,能力越强,目标工资越高的人往往能更快找到工作。最后,作者对平衡样本进行估计,第6列的回归结果表明,失业保险到期前,目标月工资降低3.5%,失业保险到期后,目标月工资降低4.2%。
5.3 目标小时工资、小时和目标工作质量
  作者进一步对小时工资、小时和目标工作质量进行估计,其结果如表5所示:

  表5的第3列表明,相较于目标月工资,失业保险到期前后目标小时工资下降幅度更小(0.8%)。第6列和第7列表明,目标工作质量有所下降。第8列表明,失业者对无固定期限合同的偏好下降5.2%。
5.4 稳健性检验
  为验证结论的稳健性,本文从三方面进行稳健性检验:(1)其他识别策略;(2)估计变量测量方式与回归结果的敏感度;(3)外部有效性、失业保险覆盖市场和劳动力。以上估计结果均证明研究结论具有稳健性。
  六、进一步研究
6.1 持续性依赖
  本文还估计了失业持续时间对求职行为的影响,结果如表6所示。

  表6第1列表明,失业期每增加1年,失业者的目标工资就减少1.5%。随着失业期的增加,失业者倾向于寻找低收入、低技能和低学历要求、合同无固定期限的工作。
6.2 异质性分析
  对于享有较高水平失业救济金的失业者,失业保险到期意味着较高的收入损失。因此,作者探讨了失业救济金水平对工作搜寻行为的影响。结果如表7所示。

  表7表明,对于领取较高水平失业救济的失业者来说,失业救济每增加1%,其工作搜寻努力上升0.34%。相应地,目标工资下降更多,但系数并不精确。
  七、结论
  本文研究了失业保险到期前后,失业者工作搜寻行为的变化。通过在基准回归模型中加入失业和失业时间固定效应,作者发现,失业保险到期前一年,失业者工作搜寻努力至少增加50%,并在到期后保持该水平。与此同时,失业保险到期前一年,失业者目标月工资降低2.4%至3.5%。此外,本文还证明了持续期依赖(失业持续时间)对工作搜寻行为的负面影响,即失业时间每增加一年,失业者目标月工资会下降1.5%。
  推荐理由:
  失业,是经济研究的永恒话题。本文拓展了动态搜寻模型并使用法国在线求职平台的纵向数据,通过失业和失业时间固定效应控制动态选择和持续期依赖问题,验证了失业保险对工作搜寻行为的直接影响。此外,本研究也证明了动态工作搜寻模型的预测,强调失业保险制度的重要性。当前,新冠肺炎肆虐导致多国失业率上升,对失业保险政策效应的评估更具理论和实践意义。
