推文作者: 华中科技大学管理学院 黄永颖
原文信息: Bennett, D., Chiang, C.-F., Malani, A.Learning during a crisis: The SARS epidemic in Taiwan(2015) Journal of Development Economics, 112, pp. 1-18.
原文链接: https://doi.org/10.1016/j.jdeveco.2014.09.006
一、引言
人类定期会遭遇一些陌生的威胁,比如恐怖袭击或者是新疾病的爆发。这些情况会促使人们采取极端的行为保护自己。但是,关于在缺乏有关威胁信息的情况下个体是如何做出决策的却知之甚少。2003年中国台湾省爆发的SARS流行病为研究人们对陌生威胁的反应行为提供了一个良好的实验情景。对于拥有2300多万人口的台湾省来说,仅有312人被感染,这一比例算是较低的。然而社会公众却对这一公共事件做出了过度的反应,尤其是公共场所的人流量显著减少,医院门诊数同期也出现大幅下降。而后者是经济流行病学中经常讨论的一个话题—“避免就医”(Health care avoid),已有的理论主要是基于完全信息的假设进行分析。而这一假设并不适用于SARS病毒爆发的分析,即使是科学家,他们对病毒的认识也需要一个逐步的过程,更何况是普通个体。因此,个体面对风险的决策依据主要依赖于从同龄人群体中获取的信息,而不是公共信息。这会产生“信息级联”反应,即个体发现从同龄人群体中获得的信息比自己获得的信息更加可靠时就会放弃自己的信息,加入这一群体并做出决策,从而放大社会对公共事件的反应。本文的研究就是分析公共风险信息和同龄人信息是如何促成个体对SARS流行病的反应。
二、实证模型
(一)SARS风险的主观度量与门诊次数变化的关系
关于个体对SARS风险的主观度量与门诊次数的关系我们可以从简单的需求模型中得到。当SARS病毒爆发后,个体在门诊过程中被感染的主观风险设为sijt,爆发之前sijt=0。假设风险的单位货币成本为??,这时个体去门诊的价格由p变成p+??sijt,价格变化引起的需求变化则为????sijt。因此,我们可以得到个体对SARS风险的主观度量与门诊次数变化的关系式为:

(二)同龄人效应的识别
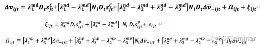
本文想要分析的是群体行为如何影响个体行为,即公共信息和同龄人信息如何影响个体对SARS风险的主观感知。但是,在实证上难免会面临重要的识别挑战,存在一些共同的不可观测因素会同时影响个体行为和群体行为。因此,本文构造了双重差分模型进行因果推断来缓解这一问题,构造的理论模型如下:

其中,i、j、t分别代表个体i、个体i所在的同龄人群体j以及时间t。本文将到同一个医院同一个医生就诊的所有个体定义为同龄人群体(peer group),后文也对这一定义进行了稳健性检验。Dt取值为1代表个体处于SARS病毒爆发的期间。Ni取值为1代表个体属于长期居住在本地的居民,为本文的处理组(non-movers),Ni取值为0代表刚搬到社区1-2年的个体(movers)。相比于搬迁者来说,长期居住本地的居民有较强的社会网络关系,社会互动行为较

表同龄人效应的大小,是本文关注的核心系数。由于构造了双重差分模型,我们可以假定

其中k代表个体i所在城镇k。上述实证模型的被解释变量采用的是vijt而不是??vijt的主要原因是为了缓解自相关的问题,vijkt-26作为控制量加以控制,同时回归中也控制了群体固定效应??jk、组间的群体固定效应Ni??jk以及时间固定效应??k。我们预期??1系数和??2系数显著为负,??5系数显著为正。
三、实证结果
(一)基准结果
基准结果报告在表3,第(1)列中??1、??2的系数分别为-0.14、-0.87,且均在1%的水平显著,表明省层面和地方层面的确诊人数数据的披露会显著减少个体门诊次数,而且对省层面公开信息的反应程度更大。相比于搬迁者而言,当地长期居民对省层面公开信息的反应程度更加强烈,但对于地方信息处理组和控制组的门诊次数变化没有太大区别。第(2)列加入了社会互动以及不可观测的冲击,此时??1的系数下降了42-58%,??2的系数下降了22-26%。而且,??5的系数为0.084并且在1%的水平上显著,这与我们的预期结论相符,说明同龄人效应的存在会放大个体对SARS病毒风险的反应,减少个体门诊的次数。表3中第(3)列、第(4)列报告了疑似病例数据作为公开信息的代理变量,结论依然成立。

(二)替代识别策略
双重差分模型成立的条件是不可观测冲击在SARS病毒流行期间对处理组的影响是一致的。为了检验这一假定是否成立,我们在模型中放入滞后一期的同

同龄人门诊次数越大,则个体与同龄人社会的互动越频繁,同龄人效应越强,个体当期的门诊次数下降越明显,具体的模型如下:

此,本文关注的??7系数显著为负。实证结果如表6所示,第(1)列未分别加入处理组和控制组同龄人群体的当期门诊次数,此时??7的系数为-0.096,与基准回归结果系数大小接近但符号相反,和预期揭露一致。第(2)列在控制特定组别的当期冲击后,系数大小和显著性并没有发生明显的改变,说明SARS期间的不可观测冲击并不会对处理组产生不同差异的影响,因而本文的估计结果是可靠的。原文还利用中国春节期间门诊数的自然下降作为实验进行证伪检验,发现同龄人效应并不存在。

(三)动态模拟方法
本文还采取了逐步剔除回归项并计算拟合门诊次数的方法来模拟同龄人效应和同龄人群体不可观测冲击的效应大小。表8反应了逐步回归的过程,在最开始的回归中考虑所有因素包括公共信息、同龄人群体冲击以及同龄人效应,之后逐步减少考虑的因素个数,并以不考虑任何因素的情况(表8第4行)作为基准组进行比较,结果展示如图10所示。我们发现个体门诊次数的减少主要是公共信息披露引起的,但是同龄人效应和同龄人群体的不可观测冲击会加剧这一反应程度。本文认为社会学习(social learning)能够比较合理地解释本文的结论。在面对SARS病毒,由于公共信息难以提醒有关个体异质性的风险,个体就会更多地从同龄人群体中获取信息,产生“信息级联”效应(information cascade),从而放大人们对SARS风险的反应。行为模仿同样能够解释本文结论,但是受限于数据本文无法进行检验,而且本文估计得到的效应只是一个下限估计。


四、结论与未来展望
为什么社会公众会对较低的公共风险产生巨大的社会反应?本文认为社会学习能够较好地解释这一现象。这一结论能够为提高公共政策处理危机事件的有效性开阔思路。而如何通过教育运动或者提高公共信息传递的精准性来缓解同龄人效应将是未来研究的重点。
推荐理由:
科学技术的进步改变了人与人之间的社交互动方式,也改变了人们获得信息的渠道,同龄人群体变得更加模糊和难以定义。这次新冠肺炎从局部爆发逐步演变成全球流行的过程中,信息在强大的通讯工具加持下传播速度和精准性得到了大幅提升,那么它缓解了同龄人效应的存在了嘛?还是放大了个体对这一公共卫生事件的反应?科技进步的利与弊仍然是一个争论不止的话题。
