推文作者: 华中科技大学管理学院 吴燕
原文信息: Fetter, Daniel K., and Lee M. Lockwood. 2018. "Government Old-Age Support and Labor Supply: Evidence from the Old Age Assistance Program." American Economic Review, 108 (8): 2174-2211.
原文链接: 10.1257/aer.20160921
一、引言
许多重要的政府救助项目,不仅给予老年人转移支付,同时向其劳动征税。标准经济理论预测,这些计划减少了老人晚年的劳动力供给,而隐性税收降低了计划对接受者的事后价值。人口趋势增加了老年人在劳动市场的潜在劳动力供给及其总体重要性,导致政府养老保障计划改革成为了必然,了解这种影响对劳动力供给和福利的规模和性质是一个越来越重要的研究话题。因此,本文尝试回答以下三个问题:(1)政府养老计划对男性晚年劳动力供给的影响是什么? (2) 具体响应转移支付、劳动征税的对象是哪些?(3)就劳动税收的重要性而言,接受者的相关福利成本有多大?
我们通过在州层面执行的、老人获得转移支付来源最大的老龄援助(OAA)政策背景下解决这些问题。研究发现:(1)政府养老计划显著降低了55-74岁男性晚年的劳动力供给;(2)响应OAA政策的为收入较低、受教育程度较低、处于劳动市场边缘的群体;(3)收入测试对受惠者的福利成本相当的小。
本文的边际贡献主要有以下两点:第一,为美国20世纪中期社会保险和退休的转型提供了见解;第二,背景和方法的巧妙结合,使得估计OAA项目的劳动供给效应结果可靠。
二、背景与数据
2.1 背景
1935年,老年救助(OAA)与老年保险(OAI)一起被引入《社会保障法》,OAI后来被称为社会保障(SS)。OAA为州管理的、需要经过收入测试的(当收入高于一定程度便没资格获得)、针对65岁及以上老年人的养老支持项目,发放形式为现金转移支付。OAA的引入导致政府养老支持的迅速扩大,从1929年的仅7个州执行,到1940年的所有州都执行,且在1950年前,OAA都是符合资格的、老年人的最大救助收入来源。其它社会保障项目,如:SS等在这以前都几乎很少甚至没有。1950年以后,SS转移支付金额开始超过OAA。本文利用这一背景,在1940年及以前,利用OAA政策研究老年人的劳动供给和福利变化;在1940-1960年之间,研究OAA和SS整体给人们带来的福利及对退休的影响。
2.2 数据
本文主要用到的是1940年人口普查数据,其特点是:规模大,地理位置精确,最小样本为县层面。样本为:有正常人口统计特征、工作信息的55-74岁男性,重点关注65岁及以上男性。由于OAA是在州层面执行,因此各个州存在较大异质性,为排除其它因素的潜在干扰,在进行一系列检验后,我们选择了有广泛代表性的、州边界两边的县作为比较样本,并且边界县样本排除了与至少一个州不接壤的县。这也是本文主回归中用到的样本。
三、理论与实证
本文使用两个关键的变量来源来探究OAA的影响。一是年龄资格要求:受助人必须满足年龄不低于65岁;二是州政策的异质性。由于没有个人层面的数据,首先,我们根据已有数据特征,按照年龄分组得到模拟转移支付金额,作为受益者实际收到转移金额的工具变量;然后,以60-64岁作为基准组,比较在OAA转移支付影响下,劳动供给的变化。个人i年龄a住在州s县c,两州边界b,劳动输出y:

log(payments per person 65+)为模拟得到的65岁及其以上的个人转移支付金额对数,Xiacs为控制变量,??ba为州边界固定效应。回归结果如下:

由上回归结果第(4)列看出,模拟和OLS回归结果都表明,OAA转移支付显著降低了65-74岁之间老年人的劳动供给,控制年龄与州边界交互项后,64岁以前的劳动供给无显著变化。一方面表明,控制州边界和年龄固定效应乘积的重要性,另一方面表明,OAA并无显著预期效应。为更进一步验证OAA效应,以64岁为基准点:

由上可看出,第一,在65岁以前人们劳动供给没有显著变化,65岁以后,劳动供给显著下降;第二,65岁以前,非工资收入占总收入的比例没有明显变化,65岁以后,所占比例明显上升。经过进一步稳健性检验,得出OAA确实导致老年男性劳动供给下降。
为探究响应OAA人群,分别:分受教育年限、预期潜在收入、就业类型及就业状态进行分样本回归,得出结果如下:

由上可知,响应OAA的多为受教育程度较低、潜在收入较低以及在失业人群、公共紧急部门工作的人占到较大比例。这也从一定程度上暗示OAA项目的收入测试可能并没有给受益者带来多大的福利成本。为进一步探究受益者的福利成本,在实证基础上,我们进一步进行理论模型分析。
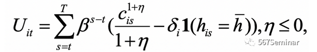
四、理论模型
首先,因OAA受益者在65及以上年龄才能获得。为进一步理解,假设把这一部分收益平铺到整个生命周期,那么可以符合常识的认为,在一直到退休前,拥有OAA的人相对消费预算更高。而65岁为退休拐点,也是获得OAA必要条件之一,因此作者把此点作为一个扭结点,通过运用实证中的数据,建立个体生命周期模型,分析个体i年龄t最大化生命周期效用:

从消费中获得正效用,从工作中获得负效用。假设获得资格是潜在收入的线性函数:

结合实证参数,用模拟矩估计分别估计各个潜在收入水平在65岁的劳动力参与比例中断情况:

由上知,一方面模型与数据拟合比较好,另一方面从数值计算得出:实证中OAA降低了受益者劳动供给的8.5%,而模型中显示降低劳动供给的6.3%;实证中表明1美元相当于0.48-1美元的无条件收入,即$1~[0.48,$1],模型中表明1美元相当于0.95美元无条件收入,即:$1~$0.95。
五、结论
综上,我们得出三点结论:(1)OAA显著降低了美国65-74岁之间男性老人的劳动供给;(2)相应OAA号召更多的是处于贫困边缘的人;(3)OAA的收入测试要求并给受益者带来的福利成本较小。
推荐理由:
(1)中国老年人的劳动供给如何响应政府的一些救助项目可能值得思考;(2)本文识别方法和思考角度值得学习。
