推文作者: 米兰电竞·(中国区)财政税务学院 马婷钰
原文信息: Best M C, Hjort J, Szakonyi D. Individuals and Organizations as Sources of State Effectiveness[J]. 2019.
原文链接: https://cdep.sipa.columbia.edu/sites/default/files/cdep/WP48Best-2.pdf
一、引言
一国经济发展背后的支撑是成功的国家。从历史上看,马克思·韦伯在1921年出版的《Economy and Society》一书中认为,在理想的组织形态中,官僚依据固有规则作出反应和决策。选贤举能、分工明确,阶级清晰是该组织的重要特征。事实上,在当下的官僚体制中,不同官员的技能,采购主体能力存在很大差异。基于此,本文试图回答以下两个问题:(1)官员对于一国生产能力的影响程度究竟如何?(2)在考虑官员效率存在异质性的情况下,政府如何最优化政策的制定?
回答上述问题所面临的一个挑战是,如何利用衡量官员的产出效率。利用俄罗斯2011-2016年超过六千万份的采购合同数据,本文将采购活动的平均成交价格作为衡量官员有效性的代理变量,考察了官员及公共部门组织有效性背后的原因以及不同主体间有效性的差异对政府采购效果的影响。
本文首先构造了一个内生采购进入模型刻画政府采购的全过程,并对国内、外厂商在竞标过程中的博弈行为及其均衡状态进行分析。在引入投标本土偏好的政策后,模型结果表明有效性程度不同的官员在采购过程中会施加不同程度的参与成本,从而对中标价格、参与厂商数量以及本土厂商胜出的概率产生异质性影响。
进一步分析造成官员和公共部门组织有效性差异的原因,本文利用从俄罗斯的政府采购合同数据以及交易主体数据的所有变量中挑选了160个可能的解释变量,并利用LASSO回归进行降维筛选,得到最终的50个核心解释变量。将价格对各变量分别进行回归,结果表明筛选出的变量均会对最终成交价格产生不同程度的影响。
最后,本文研究官员的有效性差异如何影响政策最终的实施效果。利用俄罗斯在政府采购中实施的一项投标本土偏好政策,DID的估计结果表明,该政策的推行确实提高了国内竞标者中标的概率并降低了最终中标价格,参与竞标的厂商数量也有所增加。进一步考虑官员和公共部门组织的有效性差异后,研究发现,官员的有效性程度与最终成交价格呈现反向变动的趋势。
二、制度背景及数据
2.1 政府采购
1991年,俄罗斯联邦政府将政府采购的权力下放至地方政府。对于金额在35000美元以下的采购活动,由各地方政府自主立法决定,在此之上的则由联邦政府统一立法进行规范。
在所有政府采购活动中,一半以上采用电子拍卖的形式进行,电子拍卖通过专门、独立的网络平台进行。具体的拍卖过程是:政府发布招标公告——供应商竞标——进行拍卖——中标者签订合同。采购官基于中央和地方政府的采购规则进行决策,其目标是以最低的价格采购质量最优的商品。
此外,俄罗斯政府采购中实行一项投标的本土偏好政策。具体而言,2011-2014年间政府每年都会发布一次商品目录,供应目录中商品的国内、外厂商在进行政府采购时,国内厂商以正常价格中标,而国外厂商则面临15%折扣的惩罚机制。
2.2 数据来源
本文的数据主要包括以下三个方面:(1)自政府采购网中爬取的2011-2016年间的六千余万份采购合同,并利用文本分析的方法将采购商品分门别类进行整理,从而保证样本中的商品保持尽可能高的同质性;(2)另外使用了药品购买的信息,在该样本中商品保持高度的同质性;(3)相关企业的财务信息。
三、理论模型
接下来,作者通过一个简单的模型刻画政府采购的过程,展示了外国和本土厂商在竞标中的博弈行为及其均衡状态,以及引入投标偏好本国商品的政策后,官员效率的异质性对政策实施结果的影响。
具体而言,在一个包含供应商、采购官和使用者三方的政府采购中,成本来源于签订合同时所付出的直接成本以及此过程中合谋行为产生的间接成本两部分。接下来考虑厂商间的博弈,假定国外厂商具有更高的生产效率,同时也面临更高的参与成本。在第一阶段,国内、外厂商基于其面临的间接成本作出参与与否的决定;在第二阶段,根据参与者的数量(0,1,2)决定合同签订或进入下一轮竞标过程。在均衡状态时,供应商出于最大化自身收益的考虑作出参与决定和竞标策略。
引入投标的本土偏好政策后,此时国外厂商在惩罚机制的作用,最终竞标价格下降,本土厂商的价格相应会上升。因此,国外厂商考虑自身中标的概率下降,其参与意愿会降低,这进一步提高了本土厂商的参与意愿。上述过程的进行决定了最终的竞标价格、参与者数量和政策实施的效果。
模型结果表明,当采购的间接参与成本由低到高变化时(官员的有效性逐渐下降),中标价格、参与厂商数量以及本土厂商胜出的概率均呈现先下降后上升的趋势。
四、好的官员有多重要
那么,官员有效性差异的背后究竟是何种因素在发挥作用?本文进一步分析官员及采购主体对采购成交价格的影响,以及可能对官员及采购主体有效性产生影响的各种因素。
首先需解决的一个挑战是如何识别官员及采购主体的有效性。在俄罗斯,采购官基于中央和地方政府的采购规则进行决策,其目标是以最低的价格采购质量最优的商品。在商品同质的前提下,可以认为,采购官最后达成的成交价格越低,其有效性就越高。因此,本文将采购官在其他政府采购活动中的平均合同成交价格作为衡量其有效性的标准。
从图1中可以看出,当负责该采购主体的采购官进行更替后,其后续的平均采购成交价格也会发生相应变化,且价格变化与官员有效性程度之间呈现反向的趋势。此外,图中所展示的事前平行趋势和更替的对称性变化也排除了可能的混杂因素干扰。
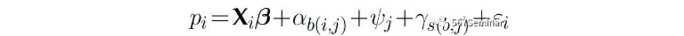
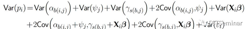
接下来,考虑第一个问题,本文使用方差分解方法对可能影响采购成交价格的因素进行预测,模型设定如下:
方差分解结果为:
表2结果表明,官员和采购主体对于采购成交价格的具有很强的解释力度(行4、5),二者联合的解释力度也是非常大的(行8)。另外,本文也利用自助法估计标准误、分样本方差分解及特征缩减技术等对样本中可能的偏误进行了处理。
考虑第二个问题,什么因素决定了官员和采购主体的有效性?利用丰富的政府采购数据,本文从整个政府采购过程、交易主体的所有特征中选择了160个可能的解释变量。为了避免变量过多所导致的过度识别问题,本文通过LASSO回归进行降维筛选,得到50个核心解释变量,并使用官员和交易主体的有效性程度分别对其进行回归。图2结果表明,筛选出的变量均会对最终成交价格产生影响。

五、投标本土偏好政策
最后,本文考虑实际的政策执行过程中,官员有效性的异质性如何影响政策最终的实施效果。利用俄罗斯在政府采购中实施的一项本土投标偏好政策,本文使用DID方法进行了实证检验,模型设定如下:
其中,i表示政府采购,g表示产品,t表示月度。yigt表示结果变量,Preferencegt表示商品g是否在当年的商品目录中,PolicyActivet表示商品目录在月度t是否进行发布,Xigt控制了商品特征、季节因素和企业特征等一系列因素,??g和??t分别为月度和产品固定效应。
表5结果显示,在不考虑官员有效性差异的情况下,投标偏好政策的推行显著增加了国内竞标者中标的概率(列5),中标的价格也有所下降(列1、3)以及参与竞标的厂商数量有所增加(列2、4)。本文进一步使用逐月回归的模型进行检验,结果依然成立且满足事前平行趋势的假定。
接下来,考虑官员和采购主体的有效性对政策效果的影响,将其(图片和图片)加入交互项进行三重差分回归,模型设定如下:
图5的结果与前文中分析保持一致,官员的有效性程度与成交价格呈现反向变动的趋势(Panel A、B)。而采购主体对价格的影响程度并不显著(Panel C、D)。
最后,本文还考察了官员有效性差异背后的可能的影响因素。将上文中利用LASSO回归得到的50个解释变量加入交互项,三重差分的结果表明,供应商人数、招标起始价格和官员自身经历等诸多因素都会在不同程度上影响官员的有效性。
六、结论
本文探讨了一个重要的经济学问题:国家生产力差异源于何处?利用俄罗斯2011-2016年超过六千万份政府采购合同数据,本文证明了政策执行者——官员和公共部门组织的有效性是国家有效性的重要原因之一。对政府采购的方差分解结果表明,二者对最终采购成交价格的解释力度占比超过40%。进一步探讨官员有效性差异对投标本土偏好政策的影响,本文发现,当该政策由效率低下的官僚实施时,参与厂商的数量增加而最终成交价格下降。
推荐理由:
如何解释不同国家在生产力方面的差异是学界一直以来探讨的重要问题。本文基于俄罗斯政府采购的研究背景下证明了官员的有效性是解释国家生产能力差异的重要原因。此外,本文研究结论的得出是基于对俄罗斯政府采购合同大数据的分析而得出。利用大数据,将机器学习等前沿方法应用于经济学研究在近年来发展的尤为迅速。我们相信,在中国丰富的政策文本中,也有许多重要的问题值得去发现。
